ÌâÄ¿ÄÚÈÝ

Èçͼ£¬Ò»»¬¿éͨ¹ý³¤¶È²»¼ÆµÄ¶ÌÉþË©ÔÚС³µµÄ°å±ÚÉÏ£¬Ð¡³µÉϱíÃæ¹â»¬¡£Ð¡³µÓɾ²Ö¹¿ªÊ¼ÏòÓÒÔȼÓËÙÔ˶¯£¬¾­¹ý2s£¬Ï¸Éþ¶ÏÁÑ¡£Ï¸Éþ¶ÏÁѺó£¬Ð¡³µµÄ¼ÓËٶȲ»±ä£¬ÓÖ¾­¹ýÒ»¶Îʱ¼ä£¬»¬¿é´ÓС³µ×ó¶Ë¸ÕºÃµôÏ£¬ÔÚÕâ¶Îʱ¼äÄÚ£¬ÒÑÖª»¬¿éÏà¶ÔС³µÇ°3sÄÚ»¬ÐÐÁË4.5m£¬ºó3sÄÚ»¬ÐÐÁË10.5m¡£Çó£º

£¨1£©Ð¡³µµ×°å³¤ÊǶàÉÙ£¿
£¨2£©´ÓС³µ¿ªÊ¼Ô˶¯µ½»¬¿éÀ뿪³µÎ²£¬»¬¿éÏà¶ÔÓÚµØÃæÒƶ¯µÄ¾àÀëÊǶàÉÙ£¿

£¨1£©12.5m  (2)12m

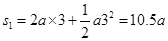
½âÎöÊÔÌâ·ÖÎö£º³õʼС³µºÍ»¬¿éÒ»ÆðÔȼÓËÙ£¬ËûÃǵÄËÙ¶ÈÏàͬ£¬Ï¸Éþ¶ÏÁѺó£¬Ð¡³µ¼ÌÐøÔȼÓËÙ£¬¶ø»¬¿é±äΪÔÈËÙ£¬»¬¿éÏà¶ÔС³µÇ°3sÄÚ»¬ÐÐÁË4.5m£¬Ò²¾ÍÊǶÏÁѺó3sÄÚÏà¶ÔÎ»ÒÆÎª4.5m£¬ÉèС³µ¼ÓËÙ¶ÈΪa£¬ÔòÉþ×Ó¶ÏÁÑʱËÙ¶ÈΪ2a£¬Éþ×Ó¶ÏÁѺó1sÄÚС³µÎ»ÒÆÎª£¬»¬¿éÔÈËÙÔ˶¯Î»ÒÆ£¬ÄÇôÏà¶ÔÎ»ÒÆ£¬ËùÒÔa=£¬Éþ×Ó¶ÏÁÑʱ»¬¿éС³µËٶȾùµÈÓÚ2a=2m/s
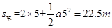
ºó3s£¬»¬¿éÈÔÊÇÔÈËÙÖ±ÏßÔ˶¯£¬Î»ÒÆ ´Ë¹ý³Ì»¬¿éÏà¶ÔС³µÎ»ÒÆÎª10.5m£¬ËùÒÔС³µÎ»ÒÆÎªÓÉÓÚС³µÎªÔȼÓËÙÔ˶¯£¬ÄÇô¼ÆËã¡£ÄÇôС³µµÄÄ©ËÙ¶È ¼ÆËã¿ÉµÃ
¼´Éþ×Ó¶ÏÁѺó5s»¬¿éÀ뿪С³µ¡£
ÔÚÕâ5sʱ¼äÄÚ£¬Ð¡³µÎ»ÒÆ£¬»¬¿éÎ»ÒÆ£¬Ïà¶ÔÎ»ÒÆ¼´Ð¡³µµÄ³¤¶È£¬
¶ø»¬¿éÏà¶ÔµØÃæµÄÎ»ÒÆ»¹°üÀ¨Éþ×Ó¶ÏÁÑǰÓëС³µÒ»ÆðÔȼÓËÙµÄ2s ,ËùÒÔ»¬¿éÏà¶ÔµØÃæÎ»ÒÆ
¿¼µã£ºÔȱäËÙÔ˶¯ Ïà¶ÔÔ˶¯

Á·Ï°²áϵÁдð°¸
Ïà¹ØÌâÄ¿

Î¥·¨ºÍ²»Á¼ÐÅÏ¢¾Ù±¨µç»°£º027-86699610 ¾Ù±¨ÓÊÏ䣺58377363@163.com

¾«Ó¢¼Ò½ÌÍø