题目内容

质量为M的小船以速度V0行驶,船上有两个质量皆为m的小孩ab,分别静止站在船头和船尾.现小孩a沿水平方向以速率v(相对于静止水面)向前跃入水中,然后小孩b沿水平方向以同一速率v(相对于静止水面)向后跃入水中.求小孩b跃出后小船的速度.

答案:
解析:

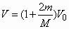
  设小孩b跃出后小船向前行驶的速度为V.根据动量守恒定律,有

  (M+2m)V0MV+mv-mv①

  解得

  


练习册系列答案
相关题目

违法和不良信息举报电话:027-86699610 举报邮箱:58377363@163.com

精英家教网