题目内容

(10分)一根轻绳一端系一小球,另一端固定在O点,在O点有一个能测量绳的拉力大小的力传感器,让小球绕O点在竖直平面内做圆周运动,由传感器测出拉力F随时间t变化图象如图所示,已知小球在最低点A的速度vA=6 m/s,g="10" m/s2,求:
(1)小球做圆周运动的周期T
(2)轻绳的长度L.

(1)2s (2)0.6m

解析试题分析:(1)小球在竖直平面内运动的过程中,由重力与绳子的拉力之和提供向心力(有时是拉力减去重力,有时是重力加上拉力),所以拉力随运动过程做周期性变化,故拉力的周期也就等于小球做圆周运动的周期,由图可以看出周期T=2 s.
(2)以小球为研究对象,设其在最低点受到拉力FA,最高点受拉力FB.
由图可以看出FA="14" N,FB="2" N
最低点:
最高点:
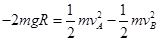
由动能定理得:
已知FA="14" N,FB="2" N,vA="6" m/s,代入①②③式,联立解得:
考点:向心力、动能定理
点评:此类题型考察了根据图像分析向心力的变化特点,通过动能定理联立求解

练习册系列答案
相关题目

违法和不良信息举报电话:027-86699610 举报邮箱:58377363@163.com

精英家教网