题目内容

如图所示,摩托车做腾跃特技表演,以初速冲上高为h,顶部水平的

高台,然后从高台水平飞出.若摩托车始终以额定功率P行驶,经时间t从坡底达坡顶,人和车的总质量为m,各种阻力的影响忽略不计,求:

(1)人和车到达坡顶时的速度v;

(2)人和车飞出的水平距离s;

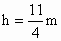
(3)当h为多少时,人和车飞出的水平距离最远?

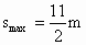
(4)若=10m/s,P=1.8kW,t=0.5s,m=180kg.重力加速度g=10m/,则上述最远距离为多少?

答案:略
解析:

(1)

(2)

(3)时,s有最大值.

(4)

(1)根据动能定理得

解得

(2)根据平抛运动规律得

(3)(2)式变形得

 =

时,s有最大值.

(4)代入已知数据有


练习册系列答案
相关题目

违法和不良信息举报电话:027-86699610 举报邮箱:58377363@163.com

精英家教网