题目内容

图中a、b是一质量m=6×103kg的公共汽车在t=0和t=4s末两个时刻的两张照片.当t=0时,汽车刚启动(汽车的运动可看成匀加速直线运动).图c是车内横杆上悬挂的手拉环的图象,测得θ=30°.根据题中提供的信息,无法估算出的物理量是 (    )

A.汽车的长度

B.4s末汽车的速度

C.4s内汽车牵引力所做的功

D.4s末汽车合外力的瞬时功率

 

【答案】

C

【解析】

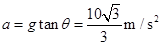
试题分析:以拉环为研究对象分析受力,如下图:

故可知,所以可解得加速度的大小为,所以可求得4s末汽车的速度为,故B正确;而汽车在4s内的位移即汽车的长度,所以可求出,故A正确;由加速度和汽车的质量可求出汽车所受的合外力,根据可求得汽车在4s末时合外力的瞬时功率,所以D正确;因不知道汽车所受到的阻力大小,所以不能求出牵引力,也就无法求出在4s内汽车索引力所做的功,所以C错误;本题问不能估算出的物理量,所以选择C;

考点:速度、功、功率、牛顿第二定律

 

练习册系列答案
相关题目

违法和不良信息举报电话:027-86699610 举报邮箱:58377363@163.com

精英家教网