题目内容

几名学生进行野外考察,登上一山峰后,他们想粗略测出山顶处的重力加速度.于是他们用细线拴好石块P系在树枝上做成一个简易单摆,如图所示.然后用随身携带的钢卷尺、电子手表进行了测量.同学们首先测出摆长L,然后将石块拉开一个小角度,由静止释放,使石块在竖直平面内摆动,用手表测出单摆完成n次全振动所用的时间t

①利用测量数据计算山顶处重力加速度的表达式g________

②若振动周期测量正确,但由于难以确定石块重心,测量摆长时从而将悬点一直量到石块下端,所以用这次测量数据计算出来的山顶处重力加速度值比真实值________(选填“偏大”、“偏小”或“相等”).

答案:
解析:

  ①

  ②偏大(每空3分)  共6分


练习册系列答案
相关题目
【物理-选修3-4】
(1)下列说法正确的是
BD
BD

A.根据麦克斯韦的电磁场理论,在变化的电场周围一定产生变化的磁场,在变化的磁场周围一定产生变化电场
B.发射电磁波的两个重要条件是采用高频和开放性LC电路
C.用标准平面检查光学平面的平整程度是利用光的偏振现象
D.当物体以较小的速度运动时,质量变化十分微小,经典力学理论仍然适用,只有当物体以接近光速运动时,质量变化才明显,故经典力学适用于低速运动,而不适用于高速运动
(2)几名学生进行野外考察,登上一山峰后,他们想粗略测出山顶处的重力加速度.于是他们用细线拴好石块P系在树枝上做成一个简易单摆,如图1所示.然后用随身携带的钢卷尺、电子手表进行了测量.同学们首先测出摆长L,然后将石块拉开一个小角度,由静止释放,使石块在竖直平面内摆动,用电子手表测出单摆完成n次全振动所用的时间t.
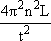
①利用测量数据计算山顶处重力加速度的表达式g=
4π2n2L
t2
4π2n2L
t2

②若振动周期测量正确,但由于难以确定石块重心,测量摆长时从悬点一直量到石块下端,所以用这次测量数据计算出来的山顶处重力加速度值比真实值
偏大
偏大
(选填“偏大”、“偏小”或“相等”).

(3)如图2所示,在坐标系的第一象限内有一横截面为四分之一圆周的柱状玻璃体OPQ,OP=OQ=R,一束单色光垂直OP面射入玻璃体,在OP面上的入射点为A,OA=
R
2
,此单色光通过玻璃体后沿BD方向射出,且与x轴交于D点,OD=
3
R
,求:该玻璃的折射率是多少?
(1)几名学生进行野外考察,登上一山峰后,他们想粗略测出山顶处的重力加速度.于是他们用细线拴好石块P系在树枝上做成一个简易单摆,如图所示.然后用随身携带的钢卷尺、电子手表进行了测量.同学们首先测出摆长L,然后将石块拉开一个小角度,由静止释放,使石块在竖直平面内摆动,用手表测出单摆完成n次全振动所用的时间t.
①利用测量数据计算山顶处重力加速度的表达式g=
 

②若振动周期测量正确,但由于难以确定石块重心,测量摆长时从而将悬点一直量到石块下端,所以用这次测量数据计算出来的山顶处重力加速度值比真实值
 
  (选填“偏大”、“偏小”或“相等”).精英家教网
(2)在“测定金属的电阻率”的实验中,所用金属电阻丝的电阻约为30Ω.现通过以下实验测量该金属材料的电阻率.
①用螺旋测微器测量电阻丝直径,其示数如图1所示,则该电阻丝直径的测量值d=
 
mm;
②实验中能提供的器材有开关、若干导线及下列器材:
电压表V1(量程0~3V,内阻约3kΩ);
电压表V2(量程0~15V,内阻约15kΩ);
电流表A1(量程0~100mA,内阻约5Ω);
电流表A2(量程0~0.6A,内阻约0.1Ω);
滑动变阻器R1(0~10Ω);
滑动变阻器R2(0~1kΩ);
电源E (电动势为4.5V,内阻不计).
为了便于调节电路并能较准确的测出电阻丝的阻值,电压表应选
 
,电流表应选
 
,滑动变阻器应选
 

③如图2所示,将电阻丝拉直后两端固定在刻度尺两端的接线柱a和b上,刻度尺的中间有一个可沿电阻丝滑动的触头P,触头的另一端为接线柱c,当用手按下触头P时,触头P才与电阻丝接触,触头的位置可在刻度尺上读出.实验中改变触头P与电阻丝接触的位置,并移动滑动变阻器的滑片,使电流表示数I保持不变,分别测量出多组接入电路中电阻丝的长度L与对应的电压U.请在图3中完成实验电路的连接.(要求:能改变电阻丝的测量长度和进行多次测量)
④利用测量数据画出U-L图线,如图4所示,其中(L0,U0)是U-L图线上的一个点的坐标.根据U-L图线,用电阻丝的直径d、电流I和坐标(L0,U0)可计算得出电阻丝的电阻率ρ=
 
.(用所给字母表示)
(2009?海淀区二模)(1)几名学生进行野外考察,登上一山峰后,他们想测出所处位置的重力加速度和高度,于是他们做了如下实验.
①用细线拴好石块P系在树枝上做成一个简易单摆,如图1所示.用随身携带的钢卷尺测出悬点到石块中心的长度L,然后将石块拉开一个小角度,由静止释放石块,使石块开始在竖直平面内摆动,用电子手表测出单摆完成n次全振动所用的时间t.由此可计算出所处位置的重力加速度g=
4π2n2L
t2
4π2n2L
t2

②若已知地球半径为R,海平面的重力加速度为g0,由此计算出他们在山峰上所处位置的高度h=
Rt
2πn
g0
L
-R
Rt
2πn
g0
L
-R
.(用测量出的物理量和已知量表示)

(2)实验室有一个螺线管电阻值约为60Ω,其绕制螺线管的金属丝的电阻率为ρ.某同学采用如下方法测量螺线管两接线柱之间金属丝的长度,请按要求完成下列问题.
①使用螺旋测微器测量金属丝的直径,示数如图2所示,金属丝的直径d=
0.260×10-3
0.260×10-3
m.
②用电流表和电压表测量螺线管的电阻,提供的实验器材实物如图3所示:
A.直流电流表(量程0~50mA,内阻约10Ω);
B.直流电压表(量程0~3V,内阻约3kΩ);
C.直流电源(电动势4V,内阻可不计);
D.滑动变阻器(总阻值10Ω,最大电流1A);
E.开关一个,导线若干条.
为了比较准确地测量金属丝的电阻,要求测量多组数据,在所给的实物图中画出连接导线.
③若电压表的读数为U,电流表的读数为I,金属丝直径为d,金属丝的电阻率为ρ,则由已知量和测得量的符号表示金属丝的长度的计算式为l=
πd2U
4ρI
πd2U
4ρI

违法和不良信息举报电话:027-86699610 举报邮箱:58377363@163.com

精英家教网