题目内容

(10分)如图所示,在竖直向下的匀强电场中,一个质量为m带负电的小球从斜轨道上的A点由静止滑下,小球通过半径为R的圆轨道顶端的B点时恰好不落下来。已知轨道是光滑而又绝缘的,且小球的重力是它所受的电场力2倍。求:

(1)A点在斜轨道上的高度h为多少?

(2)小球运动到最低点时对轨道的最小压力为多少?

 

【答案】

(1)    (2)  3mg

【解析】

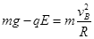
试题分析:(1)设小球到B点的最小速度为vB,则牛顿第二定律:     ①

小球从A到B的过程中由动能定理:     ②

由①②得     ③           5分

(2)小球从A到C的过程中,由动能定理:   ④

小球在C点时,牛顿第二定律:     ⑤

又因为  mg=2qE        ⑥

由③④⑤⑥ 得:N=3mg               5分

考点:本题考查带电粒子在复合场中的运动涉及动能定理、向心力公式的使用,意在考查学生的综合能力.

 

练习册系列答案
相关题目

违法和不良信息举报电话:027-86699610 举报邮箱:58377363@163.com

精英家教网