题目内容

若近似认为月球绕地球公转与地球绕日公转的轨道在同一平面内,且均为正圆.又知这两种转动同向,如图所示,月相变化的周期为29.5天(图示是相继两次满月时,月、地、日相对位置的示意图).求月球绕地球一周所用的时间T(因月球总是一面朝向地球,故T恰是月球自转周期).

(提示:可借鉴恒星日、太阳日的解释方法)

答案:10
解析:

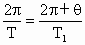
  由图可知,在月相变化一个周期的时间内,月球绕地球转过的角度为(2π+θ)rad,其中θ为地球在时间内绕太阳转过的角度,因为地球的公转周期天,所以地球的角速度.若设月球绕地球转动的周期为T,则有,代入θ和,可求得月球绕地球的转动周期T=27.3d

  由于图像直观、简捷,信息量大,因而在考试中经常出现图像方面的问题,让同学们从图像中获取有用信息,进而解决问题.另外从物理图像中找出物理信息也是高考中要求的五大基本技能之一.所以,同学们对图像一定要高度的重视.


练习册系列答案
相关题目

违法和不良信息举报电话:027-86699610 举报邮箱:58377363@163.com

精英家教网