题目内容

利用超声波遇到物体发生反射,可测定物体运动的有关参量,图(a)中仪器AB通过电缆线连接,B为超声波发射与接收一体化装置,仪器AB提供超声波信号源而且能将B接收到的超声波信号进行处理并在屏幕上显示其波形.

现固定装置B,并将它对准匀速行驶的小车C,使其每隔固定时间T0发射一短促的超声波脉冲,如图(b)中幅度较大的波形,反射波滞后的时间已在图中标出,其中T和ΔT为已知量,另外还知道该测定条件下超声波在空气中的速度为v0,根据所给信息求小车的运动方向和速度大小.

答案:
解析:

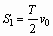
  从B发出第一个超声波开始计时,经C车接收.故C车第一次接收超声波时与B距离

  第二个超声波从发出至接收,经T+ΔT时间,C车第二车接收超声波时距BC车从接收第一个超声波到接收第二个超声波内前进S2S1,接收第一个超声波时刻,接收第二个超声波时刻为

  所以接收第一和第二个超声波的时间间距为

  故车速.车向右运动.


练习册系列答案
相关题目

违法和不良信息举报电话:027-86699610 举报邮箱:58377363@163.com

精英家教网