题目内容
【答案】分析:物体A、B分别受力分析,根据牛顿第二定律求出加速度;假设物块A恰好不从木板右端滑下,即到达木板右侧时A与B速度相等,然后根据运动学公式列式求解出对应的力,为最小值;再求出物体A恰好滑到最右端时,之后一起加速,且AB静摩擦力为最大静摩擦力的情况下,力F的值,为最大值,最后得到力F的作用范围.
解答:解:物体A滑上木板B以后,作匀减速运动,根据牛顿第二定律,加速度为:aA=µg…①
木板B作加速运动,有:F+µm1g=m2aB…②
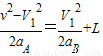
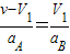
物体A不滑落的临界条件是A到达B的右端时,A、B具有共同的速度v1,则:
…③
又:
…④
由①、③、④式,可得:aB=6m/s2
再代入②式得:F=m2aB-µm1g=1N
若F<1N,则A滑到B的右端时,速度仍大于B的速度,于是将从B上滑落,所以F必须大于等于1N.
当F较大时,在A到达B的右端之前,就与B具有相同的速度,之后,A必须相对B静止,才不会从B的左端滑落.即有:F=(m1+m2)a,µm1g=m1a
所以:F=3N
若F大于3N,A就会相对B向左滑下.
故拉力F大小应满足的条件为1N≤F≤3N.
点评:本题关键找出使物体恰好不从最右端下滑和物体间速度相同后恰好不相对滑动的两种临界情况,然后根据牛顿第二定律求解加速度,根据运动学公式结合几何关系列式计算.
解答:解:物体A滑上木板B以后,作匀减速运动,根据牛顿第二定律,加速度为:aA=µg…①
木板B作加速运动,有:F+µm1g=m2aB…②
物体A不滑落的临界条件是A到达B的右端时,A、B具有共同的速度v1,则:
又:
由①、③、④式,可得:aB=6m/s2
再代入②式得:F=m2aB-µm1g=1N
若F<1N,则A滑到B的右端时,速度仍大于B的速度,于是将从B上滑落,所以F必须大于等于1N.
当F较大时,在A到达B的右端之前,就与B具有相同的速度,之后,A必须相对B静止,才不会从B的左端滑落.即有:F=(m1+m2)a,µm1g=m1a
所以:F=3N
若F大于3N,A就会相对B向左滑下.
故拉力F大小应满足的条件为1N≤F≤3N.
点评:本题关键找出使物体恰好不从最右端下滑和物体间速度相同后恰好不相对滑动的两种临界情况,然后根据牛顿第二定律求解加速度,根据运动学公式结合几何关系列式计算.
练习册系列答案
相关题目