题目内容
如图所示,+Q1和-Q2是两个可自由移动的电荷,Q2=4Q1.现再取一个可自由移动的点电荷Q3放在Q1与Q2连接的直线上,欲使整个系统平衡,那么( )A.Q3应为负电荷,放在Q1的左边
B.Q3应为负电荷,放在Q2的右边
C.Q3应为正电荷,放在Q1的左边
D.Q3应为正电荷,放在Q2的右边
【答案】分析:由于Q1带点电荷,Q2带负点电荷,根据同种电荷排斥,异种电荷吸引,
要使整个系统处于平衡状态,对其Q3受力分析,去判断所处的位置.
解答:解:假设Q3放在Q1Q2之间,那么Q1对Q3的电场力和Q2对Q3的电场力方向相同,Q3不能处于平衡状态,所以假设不成立.
设Q3所在位置与Q1的距离为r13,Q3所在位置与Q2的距离为r23,要能处于平衡状态,
所以Q1对Q3的电场力大小等于Q2对Q3的电场力大小.
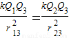
即:

由于Q2=4Q1,
所以r23=2r13,所以Q3位于Q1的左方.
根据同种电荷排斥,异种电荷吸引,可判断Q3带负电.
故选A.
点评:我们可以去尝试假设Q3放带正电或负电,它应该放在什么地方,能不能使整个系统处于平衡状态.不行再继续判断.
要使整个系统处于平衡状态,对其Q3受力分析,去判断所处的位置.
解答:解:假设Q3放在Q1Q2之间,那么Q1对Q3的电场力和Q2对Q3的电场力方向相同,Q3不能处于平衡状态,所以假设不成立.
设Q3所在位置与Q1的距离为r13,Q3所在位置与Q2的距离为r23,要能处于平衡状态,
所以Q1对Q3的电场力大小等于Q2对Q3的电场力大小.
即:
由于Q2=4Q1,
所以r23=2r13,所以Q3位于Q1的左方.
根据同种电荷排斥,异种电荷吸引,可判断Q3带负电.
故选A.
点评:我们可以去尝试假设Q3放带正电或负电,它应该放在什么地方,能不能使整个系统处于平衡状态.不行再继续判断.
练习册系列答案
相关题目
| A、不断增大 | B、不断减小 | C、先减小后增大 | D、先增大后减小 |
| A、EA>EB,φA>φB | B、EA>EB,φA<φB | C、EA>EB,φA=φB | D、EA<EB,φA<φB |