题目内容

如图,A和B是材料相同、厚度相同、表面为正方形的两个导体,但B的尺寸比A的小很多。两个导体通过的电流方向如图所示。以下说法正确的是(    )

A.A的电阻一定比B的大

B.A的电阻一定比B的小

C.A、B电阻相同

D.A、B电阻大小无法比较

 

【答案】

  C

【解析】

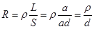
试题分析:设正方体的边长为a,材料的厚度为d,由电阻定律可知:,与材料的尺寸无关,两者电阻相同,所以C对。

考点: 电阻定律的理解及应用。

 

练习册系列答案
相关题目

 [选做题]本题包括A、B、C三个小题,请选定其中两题,并在相应的答题区域内作答。若三题都做,则按A、B两题评分。

A.(选修模块3—3)(12分)

   (1)以下说法正确的是          

    A.满足能量守恒的定律的宏观过程都是可以自发进行的

    B.熵是物体内分子运动无序程度的量度

    C.若容器中用活塞封闭着刚好饱和的一些水汽,当保持温度不变向下缓慢压活塞时,水汽的质量减少,密度不变。

    D.当分子间距离增大时,分子间引力增大,而分子间斥力减小

   (2)如图所示,由导热材料制成的气缸和活塞将一定质量的理想气体封闭在气缸内,活塞与气缸壁之间无摩擦,活塞上方存有少量液体,将一细管插入液体,利用虹吸收现象,使活塞上方液体缓慢流出,在些过程中,大气压强与外界的温度均保持不变,下列各个描述理想气体状态变化的图像中与上述过程相符合的是            图,该过程为       过程(选填“吸热”、“放热”或“绝热”)

 
   (3)如图,一集热箱里面封闭着一定量的气体,集热板作为箱的活塞且始终正对着太阳,其面积为S,在t时间内集热箱里气体膨胀对牙做功的数值为W,其内能增加了△U,不计封闭气体向外散的热,已知照射到集热板上太阳光的能量为50%被箱内气体吸收,求:

        ①这段时间内的集热箱里气体共吸收的热量;

②太阳光照在集热板单位面积上的辐射功率。

 

B.(选修模块3—4)(12分)

   (1)下列说法中正确的是       

    A.散光比自然光的相干性好

    B.紫外线在水中的传播速度大于红外线在水中的传播速度

    C.在“探究单摆周期与摆长的关系”实验中,测量单摆周期应该从小球经过最低点开始计时,以减小实验误差

    D.接收电磁波时首先要进行调频

   (2)如图所示,一个半径为R的透明圆柱体放置在水平面上,一束蓝光从A点沿水平方向垂直于左表面射入柱体后经B点射出,最后射到水平面上的C点。已知,该柱体对蓝光的折射率为,则它从右侧面射出时的出射角=    ;若将蓝光换成紫色,则它从柱体射出后落到水平面上形成的光点与C点相比,位置

                     (选填“偏左”、“偏右”或“不变”)。

(3)一列横波在某时刻的波动图像如图所示,从此时开始质点比质点早到达波谷。求:

 
        ①此波的传播方向和波速大小;

质点通过的路程。

 

 

 

 

C.(选择模块3—5)(12分)

   (1)下列说法正确的是                 

    A.黑体辐射,随着温度的升高,一方面各种波长的辐射强度都有增加,加一方面辐射强度的极大值向波长较短的方向移动。

    B.原子核越大,它的结合能越高,原子核中核子结合得越牢固。

    C.在康普顿效应中,当入射光子与晶体中的电子碰撞时,把一部分动量转移给电子,因此光子散射后波长变长。

    D.4个放射性元素的原子核经过一个半衰期后一定还剩下2个没有发生衰变。

 
   (2)一群氢原子处于量子数的能级状态,

氢原子的能级示意图如图,那么①该群氢

原子可能发射               种频率的

光子。

②氢原子由的能级直接跃迁到

的能级时,辐射出的光子照射到逸出功为

的金属钾时能发生光电效应,由此

产生的光电子的最大的初动能是     

   (3)如图所示,在水平光滑直导轨上,静止着三个质量均为的相同小球A、B、C现让A球以的速度向B球运动,A、B两球碰撞后粘合在一起,两球继续向右运动并跟C球碰撞,碰后C球的速度。求:

 
        ①A、B两球碰撞后瞬间的共同速度;

        ②两次碰撞过程中损失的总动能。

 

 

 

违法和不良信息举报电话:027-86699610 举报邮箱:58377363@163.com

精英家教网