题目内容

如图所示,长为L的细杆AB,从静止开始竖直落下,求它全部通过距下端h处的P点所用时间是多少.

答案:
解析:

  答案:

  思路解析:由于细杆上各点运动状态完全相同,可以将整个杆转化为一个点,例如只研究A点的运动.B下落h时,杆开始过P点,A点下落h+L时,杆完全过P点.

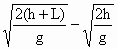
  从A点开始下落至杆全部通过P点所用时间为

  t1

  A点下落h所用时间,t2

  所以杆通过P点所用的时间

  t=t1-t2

  通过草图分清各阶段运动,然后用自由落体运动公式求解.


练习册系列答案
相关题目

违法和不良信息举报电话:027-86699610 举报邮箱:58377363@163.com

精英家教网