题目内容
质量分别为m1和m2的两个小球在光滑的水平面上分别以速度v1、v2同向运动并发生对心碰撞,碰后m2被右侧的墙原速弹回,又与m1相碰,碰后两球都静止.求:第一次碰后m1球的速度.
【答案】分析:两个球发生碰撞的过程中,系统受到外力的合力为零,故两个球构成的系统动量守恒,根据动量守恒定律联立方程组求解即可.
解答:解:两个球两次碰撞过程中,系统动量守恒,根据动量守恒定律得:

解得:
.
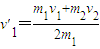
即第一次碰后m1球的速度为
.
点评:本题关键抓住系统动量守恒,根据动量守恒定律多次列式后,联立方程组求解.
解答:解:两个球两次碰撞过程中,系统动量守恒,根据动量守恒定律得:
解得:
即第一次碰后m1球的速度为
点评:本题关键抓住系统动量守恒,根据动量守恒定律多次列式后,联立方程组求解.
练习册系列答案
相关题目
两颗行星的质量分别为m1和m2,绕太阳运行的轨道半长轴分别为r1和r2,则它们的公转周期之比为( )
A、
| ||||||||
B、
| ||||||||
C、
| ||||||||
| D、无法确定 |