题目内容
某物体以30m/s的初速度竖直上抛,不计空气阻力,g=10m/s2,5s内物体的( )A.路程为65m
B.位移大小为25m,方向竖直向上
C.速度改变量的大小为10m/s
D.平均速度的大小为5m/s,方向竖直向上
【答案】分析:由竖直上抛的特征,它是加速度为负的重力加速度,向上的匀减速直线运动.由此可以解得各个量.
解答:解:
以向上为正方向,则:v=30m/s,a=-g=-10m/s2,t=5s
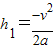
A:上抛到最高点的时间为:
,其上升位移为:
=45m,从最高点做自由落体2s内的位移为:
故5s内的总路程为:h=h1+h2=45m+20m=65m,故A正确
B:由A的计算知,物体上升45m,下降20m,故其位移为x=25m,方向竖直向上.故B正确
C:由△v=at,解得:△v=-50m/s,故其速度变化为-50m/s,故C错误
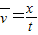
D:由位移等于平均速度乘以时间:
=
=5m/s,为正值,即沿正方向,故平均速度方向竖直向上.故D正确
故选ABD
点评:竖直上抛的特征是加速为-g,是匀减速直线运动.另关于平均速度的求法,因为本题已知时间和位移,故而可以用定义式.若已知初末速度,则可以用初末速度之和的一半来求.
解答:解:
以向上为正方向,则:v=30m/s,a=-g=-10m/s2,t=5s
A:上抛到最高点的时间为:
故5s内的总路程为:h=h1+h2=45m+20m=65m,故A正确
B:由A的计算知,物体上升45m,下降20m,故其位移为x=25m,方向竖直向上.故B正确
C:由△v=at,解得:△v=-50m/s,故其速度变化为-50m/s,故C错误
D:由位移等于平均速度乘以时间:
故选ABD
点评:竖直上抛的特征是加速为-g,是匀减速直线运动.另关于平均速度的求法,因为本题已知时间和位移,故而可以用定义式.若已知初末速度,则可以用初末速度之和的一半来求.
练习册系列答案
相关题目