题目内容
跳伞运动员做低空跳伞表演,他离开飞机先做自由落体运动,下降180m时打开降落伞,以14m/s2的加速度做匀减速运动,到达地面时速度为4m/s.(取g=10m/s2 )求:(1)运动员离开飞机时距离地面的高度是多少?
(2)离开飞机后,经过多长时间才能到达地面?
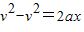
【答案】分析:(1)根据v12-0=2gh1求出自由落体的末速度,再根据v22-v12=2ah2求出匀减速运动的位移,自由落体运动的位移和匀减速直线运动的位移之和为运动员离开飞机时距离地面的高度.
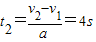
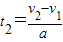
(2)根据
求出自由落体运动的时间,再根据
求出匀减速直线运动的时间,两个时间之和为运动员运动的总时间.
解答:解:(1)由v12-0=2gh1可得运动员打开伞时的速度v1=60m/s
运动员打开伞后做匀减速运动,由v22-v12=2ah2可得运动员打开伞后到地面的位移

运动员离开飞机时距地面高度h=h1+h2=180m+128m=308m.
(2)自由落体运动的时间为
打开伞后运动的时间为
离开飞机后运动的时间为t=t1+t2=10s.
点评:解决本题的关键掌握匀变速直线运动的速度时间公式v=v+at和速度位移公式
.
(2)根据
解答:解:(1)由v12-0=2gh1可得运动员打开伞时的速度v1=60m/s
运动员打开伞后做匀减速运动,由v22-v12=2ah2可得运动员打开伞后到地面的位移
运动员离开飞机时距地面高度h=h1+h2=180m+128m=308m.
(2)自由落体运动的时间为
打开伞后运动的时间为
离开飞机后运动的时间为t=t1+t2=10s.
点评:解决本题的关键掌握匀变速直线运动的速度时间公式v=v+at和速度位移公式
练习册系列答案
相关题目