题目内容
如图所示,相距为R的两块平行金属板M、N正对着放置,s1、s2分别为M、N板上的小孔,s1、s2、O三点共线,它们的连线垂直M、N,且s2O=R.以O为圆心、R为半径的圆形区域内存在磁感应强度为B、方向垂直纸面向外的匀强磁场.D为收集板,板上各点到O点的距离以及板两端点的距离都为2R,板两端点的连线垂直M、N板.质量为m、带电量为+q的粒子,经s1进入M、N间的电场后,通过s2进入磁场.粒子在s1处的速度和粒子所受的重力均不计.(1)当M、N间的电压为U时,求粒子进入磁场时速度的大小υ;
(2)若粒子恰好打在收集板D的中点上,求M、N间的电压值U;
(3)当M、N间的电压不同时,粒子从s1到打在D上经历的时间t会不同,求t的最小值.
【答案】分析:(1)粒子从s1到达s2的过程中,电场力做功W=qU,根据动能定理求出粒子进入磁场时速度的大小υ.
(2)粒子进入磁场后在洛伦兹力作用下做匀速圆周运动,粒子恰好打在收集板D的中点上时,在磁场中运动
圆弧,轨迹半径等于R,根据牛顿第二定律和动能定理求解M、N间的电压.
(3)粒子从s1到打在D上经历的时间t等于在电场中运动时间、磁场中运动时间和穿出磁场后匀速直线运动的时间之和.M、N间的电压越大,粒子进入磁场时的速度越大,在极板间经历的时间越短,同时在磁场中运动轨迹的半径越大,在磁场中粒子磁场偏转角度越小,运动的时间也会越短,出磁场后匀速运动的时间也越短,故当粒子打在收集板D的右端时,对应时间t最短.根据几何知识求出打在D的右端时轨迹半径,根据前面的结果求出粒子进入磁场时的速度大小,运用运动学公式求出三段时间.
解答:解:(1)粒子从s1到达s2的过程中,根据动能定理得
①
解得
(2)粒子进入磁场后在洛伦兹力作用下做匀速圆周运动,有
②
由①②得加速电压U与轨迹半径r的关系为
当粒子打在收集板D的中点时,粒子在磁场中运动的半径r=R
对应电压
(3)M、N间的电压越大,粒子进入磁场时的速度越大,粒子在极板间经历的时间越短,同时在磁场中运动轨迹的半径越大,在磁场中运动的时间也会越短,出磁场后匀速运动的时间也越短,所以当粒子打在收集板D的右端时,对应时间t最短.
根据几何关系可以求得粒子在磁场中运动的半径r=
R
由 ②得粒子进入磁场时速度的大小:
粒子在电场中经历的时间:
粒子在磁场中经历的时间:
粒子出磁场后做匀速直线运动经历的时间:
粒子从s1到打在收集板D上经历的最短时间为:t=t1+t2+t3=
答:(1)当M、N间的电压为U时,粒子进入磁场时速度的大小
;
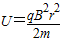
(2)若粒子恰好打在收集板D的中点上,求M、N间的电压值
;
(3)粒子从s1到打在D上经历的时间t的最小值为
.
点评:本题考查分析和处理粒子在磁场中运动的轨迹问题,难点在于分析时间的最小值,也可以运用极限分析法分析.
(2)粒子进入磁场后在洛伦兹力作用下做匀速圆周运动,粒子恰好打在收集板D的中点上时,在磁场中运动
(3)粒子从s1到打在D上经历的时间t等于在电场中运动时间、磁场中运动时间和穿出磁场后匀速直线运动的时间之和.M、N间的电压越大,粒子进入磁场时的速度越大,在极板间经历的时间越短,同时在磁场中运动轨迹的半径越大,在磁场中粒子磁场偏转角度越小,运动的时间也会越短,出磁场后匀速运动的时间也越短,故当粒子打在收集板D的右端时,对应时间t最短.根据几何知识求出打在D的右端时轨迹半径,根据前面的结果求出粒子进入磁场时的速度大小,运用运动学公式求出三段时间.
解答:解:(1)粒子从s1到达s2的过程中,根据动能定理得
解得
(2)粒子进入磁场后在洛伦兹力作用下做匀速圆周运动,有
由①②得加速电压U与轨迹半径r的关系为
当粒子打在收集板D的中点时,粒子在磁场中运动的半径r=R
对应电压
(3)M、N间的电压越大,粒子进入磁场时的速度越大,粒子在极板间经历的时间越短,同时在磁场中运动轨迹的半径越大,在磁场中运动的时间也会越短,出磁场后匀速运动的时间也越短,所以当粒子打在收集板D的右端时,对应时间t最短.
根据几何关系可以求得粒子在磁场中运动的半径r=
由 ②得粒子进入磁场时速度的大小:
粒子在电场中经历的时间:
粒子在磁场中经历的时间:
粒子出磁场后做匀速直线运动经历的时间:
粒子从s1到打在收集板D上经历的最短时间为:t=t1+t2+t3=
答:(1)当M、N间的电压为U时,粒子进入磁场时速度的大小
(2)若粒子恰好打在收集板D的中点上,求M、N间的电压值
(3)粒子从s1到打在D上经历的时间t的最小值为
点评:本题考查分析和处理粒子在磁场中运动的轨迹问题,难点在于分析时间的最小值,也可以运用极限分析法分析.
练习册系列答案
相关题目