ÌâÄ¿ÄÚÈÝ
ÈçͼËùʾÊǽ¨Öþ¹¤µØ³£ÓõÄÒ»ÖÖ¡°ÉîѨ´òº»»ú¡±£®¹¤×÷ʱ£¬µç¶¯»ú´ø¶¯Á½¸ö½ôѹº»¸ËµÄ¹öÂÖÔÈËÙÔËת½«º»¸Ë´ÓÉîΪhµÄ¿ÓÖÐÌáÉÏÀ´£¬µ±Á½¸ö¹öÂֱ˴˷ֿªÊ±£¬º»¸Ë±»ÊÍ·Å£¬×îºóº»¸ËÔÚ×ÔÉíµÄÖØÁ¦×÷ÓÃÏ£¬Â仨Éî¿Óº»Êµ¿Óµ×£®È»ºó£¬Á½¸ö¹öÂÖÔÙ´Îѹ½ôº»¸Ë£¬º»¸ËÔٴα»ÌáÉÏÀ´£¬Èç´ËÖܶø¸´Ê¼¹¤×÷£®ÒÑÖªÁ½¸ö¹öÂֵİ뾶ΪR=40cm£¬½ÇËٶȦØ=10rad/s£¬Ã¿¸ö¹öÂÖ¶Ôº»¸ËµÄÕýѹÁ¦FN=2×104 N£¬¹öÂÖÓ뺻¸ËµÄ¶¯Ä¦²ÁÒòÊýµ=0.3£¬º»¸ËÖÊÁ¿m=1×103 kg£¬¿ÓÉîh=6.4m£®¼Ù¶¨ÔÚ´òº»µÄ¹ý³ÌÖпӵÄÉî¶È²»±ä£¬ÇÒº»¸Ëµ×¶Ë¸Õµ½¿Ó¿Úʱ£¬ËÙ¶ÈÇ¡ºÃΪÁ㣮ȡg=10m/s2£¬£¨1£©º»¸ËÉÏÉý¹ý³ÌÖб»¹öÂÖÊÍ·ÅʱµÄËÙ¶ÈΪ¶à´ó£»´Ëʱº»¸Ëµ×¶ËÀë¿Óµ×¶à¸ß£»
£¨2£©Ã¿´Î´òº»µÄÖÜÆÚΪ¶àÉÙ£®
¡¾´ð°¸¡¿·ÖÎö£º£¨1£©¼ÙÉ躻¸ËÏȼÓËÙÉÏÉý£¬×îºó¼õËÙÉÏÉý£¬½áºÏÅ£¶ÙµÚ¶þ¶¨ÂɺÍÔ˶¯Ñ§¹«Ê½Çó³öÔȼÓËÙÖ±ÏßÔ˶¯µÄÄ©ËÙ¶È£¬·¢ÏÖ´óÓÚ¹öÂÖµÄÏßËÙ¶È£¬º»¸ËÉÏÉý¹ý³ÌÖоÀúÁËÔȼÓËÙÖ±ÏßÔ˶¯£¬ÔÈËÙÖ±ÏßÔ˶¯ºÍÔȼõËÙÖ±ÏßÔ˶¯£®´Ó¶øµÃÖªÊÍ·ÅʱµÄËٶȵÈÓÚ¹öÂÖµÄÏßËÙ¶È£¬¸ù¾ÝËÙ¶ÈÎ»ÒÆ¹«Ê½Çó³öËÙ¶È´ïµ½¹öÂÖËٶȵÄÎ»ÒÆ£®
£¨2£©¸ù¾ÝÔ˶¯Ñ§¹«Ê½Çó³öÔȼÓËÙ¼ÓËÙ¡¢ÔÈËÙºÍÔȼõËÙÉÏÉýµÄʱ¼ä£¬È»ºó¼ÆËã×ÔÓÉÂäÌåµÄʱ¼ä£¬×Üʱ¼ä¼´Îª´òº»ÖÜÆÚ£»
½â´ð£º½â£º£¨1£©¸ù¾ÝÅ£¶ÙµÚ¶þ¶¨Âɵã¬2f-mg=ma
½âµÃa=
=2m/s2£®
É躻¸ËÉÏÉý¹ý³ÌÖб»¹öÂÖÊÍ·ÅʱµÄËÙ¶ÈΪv£¬
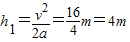
¸ù¾Ýh=
£¬½âµÃv=
£®
ÒòΪ¹öÂÖµÄÏßËÙ¶Èv=R¦Ø=4m/s
m/s£®
ËùÒÔº»¸ËÉÏÉý¹ý³ÌÖоÀúÁËÔȼÓËÙÖ±ÏßÔ˶¯£¬ÔÈËÙÖ±ÏßÔ˶¯ºÍÔȼõËÙÖ±ÏßÔ˶¯£®º»¸ËÉÏÉý¹ý³ÌÖб»¹öÂÖÊÍ·ÅʱµÄËÙ¶ÈΪ4m/s£®
´Ëʱº»¸Ëµ×¶ËÀë¿Óµ×µÄ¸ß¶È
£®
£¨2£©º»¸ËÉÏÉý¹ý³ÌÖоÀúÁËÔȼÓËÙÖ±ÏßÔ˶¯£¬ÔÈËÙÖ±ÏßÔ˶¯ºÍÔȼõËÙÖ±ÏßÔ˶¯£®
ÏòÉÏÔȼÓËÙÖ±ÏßÔ˶¯µÄʱ¼ä
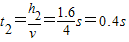
£¬ÔȼõËÙÖ±ÏßÔ˶¯µÄʱ¼ä
ÔȼõËÙÖ±ÏßÔ˶¯µÄÎ»ÒÆ
ÔòÔÈËÙÖ±ÏßÔ˶¯µÄÎ»ÒÆh2=h-h1-h3=6.4-4-0.8m=1.6m
ÔòÔÈËÙÔ˶¯µÄʱ¼ä
£®
×ÔÓÉÂäÌåÔ˶¯½×¶Î
£¬½âµÃ
Ôò´òº»µÄÖÜÆÚΪT=t1+t2+t3+t4=3.92s
´ð£º£¨1£©º»¸ËÉÏÉý¹ý³ÌÖб»¹öÂÖÊÍ·ÅʱµÄËÙ¶ÈΪ4m/s£»´Ëʱº»¸Ëµ×¶ËÀë¿Óµ×4m£®
£¨2£©Ã¿´Î´òº»µÄÖÜÆÚΪ3.92s£®
µãÆÀ£º±¾Ìâ¹Ø¼üÊÇ·ÖÎöÇó³öº»¸ËµÄÔ˶¯¹æÂÉ£¬¸ù¾ÝÅ£¶ÙµÚ¶þ¶¨ÂɺÍÔ˶¯Ñ§¹«Ê½×ÛºÏÇó½â£®
£¨2£©¸ù¾ÝÔ˶¯Ñ§¹«Ê½Çó³öÔȼÓËÙ¼ÓËÙ¡¢ÔÈËÙºÍÔȼõËÙÉÏÉýµÄʱ¼ä£¬È»ºó¼ÆËã×ÔÓÉÂäÌåµÄʱ¼ä£¬×Üʱ¼ä¼´Îª´òº»ÖÜÆÚ£»
½â´ð£º½â£º£¨1£©¸ù¾ÝÅ£¶ÙµÚ¶þ¶¨Âɵã¬2f-mg=ma
½âµÃa=
É躻¸ËÉÏÉý¹ý³ÌÖб»¹öÂÖÊÍ·ÅʱµÄËÙ¶ÈΪv£¬
¸ù¾Ýh=
ÒòΪ¹öÂÖµÄÏßËÙ¶Èv=R¦Ø=4m/s
ËùÒÔº»¸ËÉÏÉý¹ý³ÌÖоÀúÁËÔȼÓËÙÖ±ÏßÔ˶¯£¬ÔÈËÙÖ±ÏßÔ˶¯ºÍÔȼõËÙÖ±ÏßÔ˶¯£®º»¸ËÉÏÉý¹ý³ÌÖб»¹öÂÖÊÍ·ÅʱµÄËÙ¶ÈΪ4m/s£®
´Ëʱº»¸Ëµ×¶ËÀë¿Óµ×µÄ¸ß¶È
£¨2£©º»¸ËÉÏÉý¹ý³ÌÖоÀúÁËÔȼÓËÙÖ±ÏßÔ˶¯£¬ÔÈËÙÖ±ÏßÔ˶¯ºÍÔȼõËÙÖ±ÏßÔ˶¯£®
ÏòÉÏÔȼÓËÙÖ±ÏßÔ˶¯µÄʱ¼ä
ÔȼõËÙÖ±ÏßÔ˶¯µÄÎ»ÒÆ
ÔòÔÈËÙÖ±ÏßÔ˶¯µÄÎ»ÒÆh2=h-h1-h3=6.4-4-0.8m=1.6m
ÔòÔÈËÙÔ˶¯µÄʱ¼ä
×ÔÓÉÂäÌåÔ˶¯½×¶Î
Ôò´òº»µÄÖÜÆÚΪT=t1+t2+t3+t4=3.92s
´ð£º£¨1£©º»¸ËÉÏÉý¹ý³ÌÖб»¹öÂÖÊÍ·ÅʱµÄËÙ¶ÈΪ4m/s£»´Ëʱº»¸Ëµ×¶ËÀë¿Óµ×4m£®
£¨2£©Ã¿´Î´òº»µÄÖÜÆÚΪ3.92s£®
µãÆÀ£º±¾Ìâ¹Ø¼üÊÇ·ÖÎöÇó³öº»¸ËµÄÔ˶¯¹æÂÉ£¬¸ù¾ÝÅ£¶ÙµÚ¶þ¶¨ÂɺÍÔ˶¯Ñ§¹«Ê½×ÛºÏÇó½â£®
Á·Ï°²áϵÁдð°¸
Ïà¹ØÌâÄ¿