题目内容

(18分)从阴极K发射的电子经电势差U0=4500V的阳极加速后,沿平行于板面的方向从中央射入两块长L1=10cm,间距d=4cm的平行金属板AB之后,在离金属板边缘L2=75cm处放置一个直径D=20cm的带有记录纸的圆筒(如图所示),整个装置放在真空内,电子发射的初速度不计。已知电子质量m=0.9×10-30 kg,电子电量e=1.6×10-19C,不考虑相对论效应。

(1)若在两金属板上加上U1=1000V的直流电压(A>B),为使电子沿入射方向做匀速直线运动,应加怎样的磁场?

(2)若在两金属板上加上U2=1000cos2πt(V)的交流电压,并使圆筒绕中心轴按图示方向以=4πrad/s的角速度匀速转动,确定电子在记录纸上的偏转位移随时间变化的关系式并定性画出1s钟内所记录的图形。(电子穿过AB的时间很短,可认为这段时间内板间电压不变)

 

 

【答案】

(1)应加垂直纸面向里,大小为的磁场

(2)

【解析】

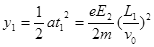
试题分析:(1)由eU0=得电子入射速度

m/sm/s           (2分)

加直流电压时,板间场强V/m            (2分)

电子做直线运动时,由条件eE1= ev0B,

得应加磁场的磁感应强度T,         (2分)

方向垂直纸面向里。           (2分)

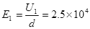
(2)加交流电压时,A、B两极间场强(V/m)(2分)

电子飞出板间时偏距            (2分)

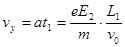
电子飞出板间时竖直速度   

从飞离板到达圆筒时偏距

        (2分)

在纸上记录落点的总偏距 

(m)       (2分)

因圆筒每秒钟转2周,故在1s内,纸上图形如图所示。

          (4分)

考点:动能定理  类平抛运动

 

练习册系列答案
相关题目

违法和不良信息举报电话:027-86699610 举报邮箱:58377363@163.com

精英家教网