题目内容
据报道上海将在崇明、南汇使用风力发电机组发电,风力发电机是将风的动能转化为电能的装置,若每台风力发电机叶片转动后总共的有效迎风面积为S,空气密度为ρ,平均风速为v,设风吹动发电机叶片后动能迅速为零,风力发电机的效率(风的动能转化为电能的百分比)为η,则每台风力发电机的平均功率约为 .
【答案】分析:风吹动发电机叶片后动能迅速为零,即风能转变为电能,根据能量守恒定律列式求解即可.
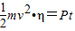
解答:解:风能转变为电能,根据能量守恒定律,有:

其中:m=ρV=ρ?vtS
联立解得:
P=
ρSηv3
故答案为:
ρSηv3.
点评:本题关键明确是哪一部分的风能转化为电能,然后根据能量守恒定律列求解.
解答:解:风能转变为电能,根据能量守恒定律,有:
其中:m=ρV=ρ?vtS
联立解得:
P=
故答案为:
点评:本题关键明确是哪一部分的风能转化为电能,然后根据能量守恒定律列求解.
练习册系列答案
相关题目