ÌâÄ¿ÄÚÈÝ
¾ÝÖÐÐÂÉç3ÔÂ10ÈÕÏûÏ¢£¬ÎÒ¹ú½«ÓÚ2011ÄêÉϰëÄê·¢Éä¡°Ì칬һºÅ¡±Ä¿±ê·ÉÐÐÆ÷£¬2011ÄêϰëÄê·¢Éä¡°ÉñÖ۰˺š±·É´¬²¢Óë¡°Ì칬һºÅ¡±ÊµÏÖ¶Ô½Ó£®Ä³Í¬Ñ§µÃÖªÉÏÊöÏûÏ¢ºó£¬»³ö¡°Ì칬һºÅ¡±ºÍ¡°ÉñÖ۰˺š±ÈƵØÇò×öÔÈËÙÔ²ÖÜÔ˶¯µÄ¼ÙÏëͼÈçͼËùʾ£¬A´ú±í¡°Ì칬һºÅ¡±£¬B´ú±í¡°ÉñÖ۰˺𱣬ÐéÏßΪ¸÷×ԵĹìµÀ£®Óɴ˼ÙÏëͼ£¬¿ÉÒÔÅж¨£¨ £©A£®¡°Ì칬һºÅ¡±µÄÔËÐÐËÙÂÊ´óÓÚ¡°ÉñÖ۰˺š±µÄÔËÐÐËÙÂÊ
B£®¡°Ì칬һºÅ¡±µÄÖÜÆÚ´óÓÚ¡°ÉñÖ۰˺š±µÄÖÜÆÚ
C£®¡°Ì칬һºÅ¡±µÄÏòÐļÓËÙ¶È´óÓÚ¡°ÉñÖ۰˺š±µÄÏòÐļÓËÙ¶È
D£®¡°ÉñÖ۰˺š±ÊʶȼÓËÙÓпÉÄÜÓë¡°Ì칬һºÅ¡±ÊµÏÖ¶Ô½Ó
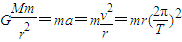
¡¾´ð°¸¡¿·ÖÎö£º¸ù¾ÝÍòÓÐÒýÁ¦ÌṩÏòÐÄÁ¦
£¬±È½Ï¡°Ì칬һºÅ¡±ºÍ¡°ÉñÖ۰˺š±µÄÏßËÙ¶È¡¢ÖÜÆÚ¡¢ÏòÐļÓËÙ¶È£®¡°ÉñÖ۰˺š±ÔÚÔ²¹ìµÀÉϼÓËÙ£¬ÐèÒªµÄÏòÐÄÁ¦Ôö´ó£¬ÍòÓÐÒýÁ¦²»¹»ÌṩÏòÐÄÁ¦£¬×öÀëÐÄÔ˶¯£®
½â´ð£º½â£ºA¡¢¸ù¾ÝÍòÓÐÒýÁ¦ÌṩÏòÐÄÁ¦
£¬a=
£¬v=
£¬
£¬ÖªÌ칬һºÅµÄ¹ìµÀ°ë¾¶´ó£¬ÔòÏßËÙ¶ÈС£¬ÏòÐļÓËÙ¶ÈС£¬ÖÜÆÚ´ó£®¹ÊA¡¢C´íÎó£¬BÕýÈ·£®
D¡¢£®¡°ÉñÖ۰˺š±ÔÚÔ²¹ìµÀÉϼÓËÙ£¬ÐèÒªµÄÏòÐÄÁ¦Ôö´ó£¬ÍòÓÐÒýÁ¦²»¹»ÌṩÏòÐÄÁ¦£¬×öÀëÐÄÔ˶¯£¬¿ÉÄÜÓë¡°Ì칬һºÅ¡±ÊµÏÖ¶Ô½Ó£®¹ÊDÕýÈ·£®
¹ÊÑ¡BD£®
µãÆÀ£º½â¾ö±¾ÌâµÄ¹Ø¼üÕÆÎÕÍòÓÐÒýÁ¦ÌṩÏòÐÄÁ¦
£¬ÖªµÀÏßËÙ¶È¡¢ÏòÐļÓËÙ¶È¡¢ÖÜÆÚÓë¹ìµÀ°ë¾¶µÄ¹ØÏµ£®
½â´ð£º½â£ºA¡¢¸ù¾ÝÍòÓÐÒýÁ¦ÌṩÏòÐÄÁ¦
D¡¢£®¡°ÉñÖ۰˺š±ÔÚÔ²¹ìµÀÉϼÓËÙ£¬ÐèÒªµÄÏòÐÄÁ¦Ôö´ó£¬ÍòÓÐÒýÁ¦²»¹»ÌṩÏòÐÄÁ¦£¬×öÀëÐÄÔ˶¯£¬¿ÉÄÜÓë¡°Ì칬һºÅ¡±ÊµÏÖ¶Ô½Ó£®¹ÊDÕýÈ·£®
¹ÊÑ¡BD£®
µãÆÀ£º½â¾ö±¾ÌâµÄ¹Ø¼üÕÆÎÕÍòÓÐÒýÁ¦ÌṩÏòÐÄÁ¦
Á·Ï°²áϵÁдð°¸
Ïà¹ØÌâÄ¿