题目内容
汤姆生在测定阴极射线比荷时采用的方法是利用电场、磁场偏转法,即测出阴极射线在匀强电场或匀强磁场中穿过一定距离时的偏角.设竖直向下的匀强电场的电场强度为E,阴极射线垂直电场射入、穿过水平距离L后的运动偏角为θ(θ较小,θ≈tanθ)(如图A);以匀强磁场B代替电场,测出经过一段弧长L的运动偏角为φ(如图B),已知阴极射线入射的初速度相同,试以E、B、L、θ、φ表示阴极射线粒子的比荷q/m的关系式.(重力不计)
【答案】分析:电子在电场中做类平抛运动,水平方向做匀速直线运动,竖直方向做初速度为零的匀加速直线运动,由牛顿第二定律和运动学公式得出电子的偏转角θ的表达式.电子在磁场中做匀速圆周运动,由牛顿第二定律得出电子的轨迹半径,由弧长L=R??得到偏转?的表达式,再求出电子的比荷.
解答:解:在电场中偏转做类平抛运动,设电子入射的初速度为v,则有
L=vt①
vy=at②
由牛顿第二定律得
③
④
∴tan
⑤
∵tanθ≈θ ⑥
∴
⑦
在磁场中偏转:设电子在磁场中做匀速圆周运动半径为R,由牛顿第二定律得
⑧
由数学知识有 L=R??⑨
⑦⑧⑨联立消去v整理得
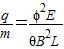
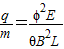
答:阴极射线粒子的比荷的关系式是
.
点评:电子在电场中类平抛运动研究的方法是运动的分解法,而在磁场中由牛顿第二定律求解半径,由几何知识得到偏转角,两种研究方法不同.
解答:解:在电场中偏转做类平抛运动,设电子入射的初速度为v,则有
L=vt①
vy=at②
由牛顿第二定律得
∴tan
∵tanθ≈θ ⑥
∴
在磁场中偏转:设电子在磁场中做匀速圆周运动半径为R,由牛顿第二定律得
由数学知识有 L=R??⑨
⑦⑧⑨联立消去v整理得
答:阴极射线粒子的比荷的关系式是
点评:电子在电场中类平抛运动研究的方法是运动的分解法,而在磁场中由牛顿第二定律求解半径,由几何知识得到偏转角,两种研究方法不同.
练习册系列答案
相关题目