题目内容

航空母舰上装有帮助飞机起飞的弹射系统.已知飞机在跑道上加速时能产生的最大加速度为5.0 m/s2,当飞机的速度达到50 m/s时才能离开航空母舰起飞.设航空母舰处于静止状态.问:

(1)若要求该飞机滑行160 m后起飞,弹射系统必须使飞机具有的初速度至少多大?

(2)若航空母舰上不装弹射系统,要求该飞机仍能从此舰上正常起飞,问该舰甲板至少应多长?

(3)若航空母舰上不装弹射系统,设航空母舰甲板长为160 m,为使飞机仍能从此舰上正常起飞,这时可以先让航空母舰沿飞机起飞方向以某一速度匀速航向,则这个速度至少多大?

答案:
解析:

  解:设经弹射系统帮助起飞时初速度为v0

  (1)由公式(m/s)  (2分)

  (2)不装弹射系统时,由可知:舰身至少为(m)  (2分)

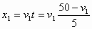
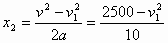
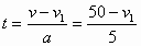
  (3)设航母匀速航行速度为v1

  则飞机做初速度为v1的匀加速直线运动  (1分)

  飞机加速至起飞用时  (1分)

  t时间内,

  航母前进距离  (1分)

  飞机前进距离  (1分)

    (2分)

  代入数据得(舍)  (1分)

  所以,航母速度至少为10 m/s  (1分)

  其它方法酌情给分.


练习册系列答案
相关题目

违法和不良信息举报电话:027-86699610 举报邮箱:58377363@163.com

精英家教网