题目内容
静止在水平地面上的物体的质量为2kg,在水平恒力F推动下开始运动,4s末它的速度达到4m/s,此时将F撤去,又经6s物体停下来,如果物体与地面的动摩擦因数不变,求F的大小.
答案:略
解析:
提示:
解析:
|
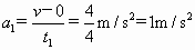
规范解答:物体的整个运动过程分为两段,前 4s物体做匀加速运动,后6s物体做匀减速运动.前 4s内物体的加速度为
设摩擦力为
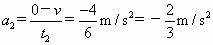
后 6s内物体的加速度为
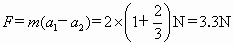
物体所受的摩擦力大小不变,由牛顿第二定律得
将上面的关系式联立,可求得水平恒力 F的大小为
|
提示:
|
思路分析:该题有两个过程:前 4s,在恒力F作用下做匀加速运动,后6s在摩擦力作用下做匀减速运动.要正确地把两个过程中的力的情况和运动的情况分析出来,借助加速度构建运动和力的关系,所以受力分析和运动分析非常关键. |
练习册系列答案
相关题目
| A、t1时刻物块的速度为零 | B、t2时刻物块的加速度最大 | C、t3时刻物块的动能最大 | D、t1~t3时间内F对物块先做正功后做负功 |