ÌâÄ¿ÄÚÈÝ

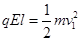
(16·Ö)ÈçͼËùʾ£¬Ö±½Ç×ø±êϵxoyµÄµÚÒ»ÏóÏÞÄÚÓг¡Ç¿ÎªE·½ÏòÑØxÖḺÏòµÄÔÈÇ¿µç³¡£¬µÚ¶þÏóÏÞÄÚÓз½ÏòÑØyÖḺÏòµÄÔÈÇ¿µç³¡£¬ÔÚµÄÇøÓòÄÚÓз½Ïò´¹Ö±×ø±êÆ½ÃæµÄÔÈÇ¿´Å³¡£®Ò»ÖÊÁ¿Îªm¡¢µçºÉÁ¿ÎªqµÄÕýÁ£×Ó(²»¼ÆÖØÁ¦)£¬´ÓP()µãÓɾ²Ö¹¿ªÊ¼Ô˶¯£¬ ͨ¹ýµÚ¶þÏóÏÞºó¾­µãÔÙ½øÈëy¡Ü0ÇøÓò£¬²¢Ç¡ºÃ¾­¹ý×ø±êÔ­µãO.Çó

(1)µÚ¶þÏóÏÞÄÚÔÈÇ¿µç³¡µÄ³¡Ç¿£®

(2)y¡Ü0ÇøÓòÄÚÔÈÇ¿´Å³¡µÄ´Å¸ÐӦǿ¶ÈB£®

(3)Á£×Ó´ÓPµ½0¾­ÀúµÄʱ¼ä£®

 

¡¾´ð°¸¡¿

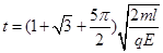
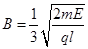
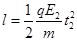
(1)  (2)  (3)

¡¾½âÎö¡¿

ÊÔÌâ·ÖÎö£º(1)Á£×ÓÔÚµÚÒ»ÏóÏÞÄÚ×öÔȼÓËÙÖ±ÏßÔ˶¯

ËùÒÔ¸ù¾Ý¶¯Äܶ¨Àí¿ÉµÃ£º

ÔÚµÚ¶þÏóÏÞÄÚ×öÔȱäËÙÇúÏßÔ˶¯£¬¼´ÀàÆ½Å×Ô˶¯£¬¹ÊÓУº,

ÕûÀí¿ÉµÃ

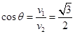
(2)ÉèÁ£×Ó¾­¹ýQµãʱËÙ¶ÈÓ븺ÏòµÄ¼Ð½ÇΪ£¬Ôò¸ù¾Ý¶¯Äܶ¨Àí¿ÉµÃ £¬¹Ê

Á£×ÓÔÚÇøÓòÄÚ×öÔÈËÙÔ²ÖÜÔ˶¯£¬ËùÒÔ¸ù¾Ý¼¸ºÎ֪ʶ¿ÉµÃ£º

¸ù¾ÝÅ£¶ÙµÚ¶þ¶¨Âɿɵãº

ÕûÀí¿ÉµÃ£º

(3)Á£×ÓÔÚ¸÷ÇøÓòÄÚµÄÔ˶¯Ê±¼ä·Ö±ðÂú×㣺

´ÓPµ½OµÄʱ¼ä£¬

½âµÃ£º

¿¼µã£º¿¼²éÁË´øµçÁ£×ÓÔÚµç´Å³¡ÖÐÔ˶¯¹æÂɵÄ×ÛºÏÓ¦Ó㬶¯Äܶ¨ÀíµÄ×ÛºÏÓ¦ÓÃ

 

Á·Ï°²áϵÁдð°¸
Ïà¹ØÌâÄ¿

Î¥·¨ºÍ²»Á¼ÐÅÏ¢¾Ù±¨µç»°£º027-86699610 ¾Ù±¨ÓÊÏ䣺58377363@163.com

¾«Ó¢¼Ò½ÌÍø