题目内容

一个从静止做自由落体运动的小球,下落2s砸坏并穿过一水平放置在空中的玻璃板,因而小球失去的速度,如果小球又用了2s到达地面,求玻璃板离地面的高度.(g取)

答案:30m
解析:

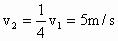
小球下落2s的速度为,小球穿过玻璃后的速度为,小球以的初速度,竖直向下做匀加速直线运动,t2s下落高度(即玻璃板离地高度)

弄清题意分清过程是解本题的关键.


练习册系列答案
相关题目

违法和不良信息举报电话:027-86699610 举报邮箱:58377363@163.com

精英家教网