题目内容

如图所示,从某高度水平抛出一小球,经过时间t到达地面时,速度与水平方向的夹角为θ,不计空气阻力,重力加速度为g,下列说法正确的是(     )

A.若小球初速度增大,则θ减小

B.小球在t时间内的位移方向与水平方向的夹角为θ/2

C.若小球初速度增大,则平抛运动的时间变长

D.小球水平抛出时的初速度大小为

 

【答案】

A

【解析】

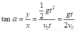
试题分析:解决本题的关键掌握平抛运动的处理方法,在水平方向做匀速直线运动,在竖直方向做自由落体运动.

速度与水平方向夹角的正切值,若小球初速度增大,下落时间不变,所以减小,即θ减小,故A正确;速度与水平方向夹角的正切值,位移与水平方向夹角的正切值,则有,但,故B错误;由知,平抛运动的落地时间由高度决定,与初速度无关,故C错误;落地时竖直方向上的速度,因为速度方向与水平方向的夹角为θ,所以小球的初速度,故D错误.所以选A.

考点:本题考查运动的合成与分解及平抛运动的位移、速度变化规律.

 

练习册系列答案
相关题目

违法和不良信息举报电话:027-86699610 举报邮箱:58377363@163.com

精英家教网