题目内容
某同学在做“研究匀变速直线运动”实验时,从打下的若干纸带中选出了如图所示的一条(每两点间还有4个点没有画出来),图中上部的数字为相邻两个计数点间的距离.打点计时器的电源频率为50Hz.如果用S1、S2、S3、S4、S5、S6 来表示各相邻两个计数点间的距离由这些已知数据计算:
该匀变速直线运动的加速度的表达式为a=______.其大小为a=______m/s2
与纸带上D点相对应的瞬时速度v=______ m/s.(答案均要求保留3位有效数字)
【答案】分析:根据匀变速直线运动的推论公式△x=aT2可以求出加速度的大小,根据匀变速直线运动中时间中点的速度等于该过程中的平均速度,可以求出打纸带上D点时小车的瞬时速度大小.
解答:解:因为每相邻两计数点间还有4个打点,所以相邻的计数点之间的时间间隔为0.1s
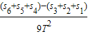
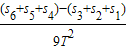
根据逐差法有:
a1=
a2=
a3=
a=
=
=1.93m/s2
根据匀变速直线运动中时间中点的速度等于该过程中的平均速度,有:
vD=
=1.19m/s
故答案为:
,1.93m/s2 1.19m/s.
点评:熟练应用运动学规律和推论处理有关“研究匀变速直线运动”实验的问题;对于实验的改进要首先明确实验原理,明确实验原理是解答实验问题突破口.
解答:解:因为每相邻两计数点间还有4个打点,所以相邻的计数点之间的时间间隔为0.1s
根据逐差法有:
a1=
a2=
a3=
a=
根据匀变速直线运动中时间中点的速度等于该过程中的平均速度,有:
vD=
故答案为:
点评:熟练应用运动学规律和推论处理有关“研究匀变速直线运动”实验的问题;对于实验的改进要首先明确实验原理,明确实验原理是解答实验问题突破口.
练习册系列答案
相关题目
(1)图1是某同学在做研究匀变速直线运动实验中获得的一条纸带.
①已知打点计时器电源频率为50Hz,A、B、C、D是纸带上四个计数点,每两个相邻计数点间有四个点没有画出.从图1中读出A、B两点间距s=______;C点对应的速度是______ (计算结果保留三位有效数字).
②如果当时电网中交变电流的频率实际是f=51Hz,而做实验的同学并不知道,那么加速度的测量值与实际值相比______(选填:偏大、偏小或不变).
(2)某同学在做探究弹力和弹簧伸长的关系的实验时,设计了如图2甲所示的实验装置.所用的钩码的质量都是30g.他先测出不挂钩码时弹簧的自然长度,再将5个钩码逐个挂在弹簧的下端,每次都测出相应的弹簧总长度,将数据填在了下面的表中.(弹力始终未超过弹性限度,取g=10m/s2)
①试根据这些实验数据,在图2乙所示的坐标纸上作出砝码质量M与弹簧总长度L之间的函数关系图线.
②上一问所得图线的物理意义是:______
③该弹簧劲度系数k=______ N/m.(结果保留两位有效数字)

①已知打点计时器电源频率为50Hz,A、B、C、D是纸带上四个计数点,每两个相邻计数点间有四个点没有画出.从图1中读出A、B两点间距s=______;C点对应的速度是______ (计算结果保留三位有效数字).
②如果当时电网中交变电流的频率实际是f=51Hz,而做实验的同学并不知道,那么加速度的测量值与实际值相比______(选填:偏大、偏小或不变).
(2)某同学在做探究弹力和弹簧伸长的关系的实验时,设计了如图2甲所示的实验装置.所用的钩码的质量都是30g.他先测出不挂钩码时弹簧的自然长度,再将5个钩码逐个挂在弹簧的下端,每次都测出相应的弹簧总长度,将数据填在了下面的表中.(弹力始终未超过弹性限度,取g=10m/s2)
| 砝码质量M(g) | 30 | 60 | 90 | 120 | 150 | |
| 弹簧总长L(cm) | 6.00 | 7.15 | 8.34 | 9.48 | 10.64 | 11.79 |
②上一问所得图线的物理意义是:______
③该弹簧劲度系数k=______ N/m.(结果保留两位有效数字)