题目内容
在“探究小车速度随时间变化规律”的实验中:(1)根据打点计时器打出的纸带,可以从纸带上直接测量得到的物理量是 .
A.位移 B.速度 C.加速度 D.平均速度
(2)下列操作中正确的有 .(填选项代号)
A.在释放小车前,小车要靠近打点计时器
B.打点计时器应放在长木板的有滑轮一端
C.应先接通电源,后释放小车
D.电火花计时器应使用低压交流电源
(3)小车拖着穿过打点计时器的纸带做匀变速运动,下图是经打点计时器打出纸带的一段,打点顺序是A、B、C、D、E,已知交流电频率为50Hz,纸带上每相邻两个计数点间还有一个点,则小车运动的加速度大小是 m/s2,D点的速度是 m/s,AE间的平均速度是 m/s.(结果保留3位有效数字)
【答案】分析:正确解答本题需要掌握:明确纸带提供的信息,根据所提供信息分析小车运动情况;熟练该实验的操作步骤,尤其是明确接通电源和释放小车的先后顺序;正确利用匀变速直线运动的推论公式△x=aT2可以求出加速度的大小,根据匀变速直线运动中时间中点的速度等于该过程中的平均速度,求某点小车的瞬时速度大小.
解答:解:(1)速度、加速度、平均速度等物理量需要根据纸带提供的位移、时间等信息进行间接计算,而时间、位移可以从纸带上直接求出或者测量出来,故BCD错误,A正确.
故选A.
(2)A、为了提高纸带的利用率,在释放小车前,小车要靠近打点计时器,这样可以尽量在纸带上多打点,故A正确;
B、为了使小车在轨道上运动,打点计时器应放在长木板的没有滑轮一端,故B错误;
C、为了提高纸带的利用率,同时为了使打点更稳定,使所打点尽量在一条直线上,应该先接通电源,后释放小车,故C正确;
D、电火花计时器使用的是220V交流电源,故D错误.
故选AC.
(3)由题意可知:s1=10.26cm,s2=19.87-10.26=9.61cm
s3=28.82-19.87=8.95cm,s4=37.15-28.82=8.33cm
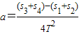
根据逐差法可知小车的加速度为:
,T=0.04s
带入数据解得:a=4.05m/s2.
D点的速度为:

AE间的平均速度为:

故答案为:4.05,2.16,2.32.
点评:本题考查了“探究小车速度随时间变化规律”中的基本操作,以及利用匀变速直线的规律以及推论解答实验问题的能力,在平时练习中要加强基础知识的理解与应用,提高解决问题能力.
解答:解:(1)速度、加速度、平均速度等物理量需要根据纸带提供的位移、时间等信息进行间接计算,而时间、位移可以从纸带上直接求出或者测量出来,故BCD错误,A正确.
故选A.
(2)A、为了提高纸带的利用率,在释放小车前,小车要靠近打点计时器,这样可以尽量在纸带上多打点,故A正确;
B、为了使小车在轨道上运动,打点计时器应放在长木板的没有滑轮一端,故B错误;
C、为了提高纸带的利用率,同时为了使打点更稳定,使所打点尽量在一条直线上,应该先接通电源,后释放小车,故C正确;
D、电火花计时器使用的是220V交流电源,故D错误.
故选AC.
(3)由题意可知:s1=10.26cm,s2=19.87-10.26=9.61cm
s3=28.82-19.87=8.95cm,s4=37.15-28.82=8.33cm
根据逐差法可知小车的加速度为:
带入数据解得:a=4.05m/s2.
D点的速度为:
AE间的平均速度为:
故答案为:4.05,2.16,2.32.
点评:本题考查了“探究小车速度随时间变化规律”中的基本操作,以及利用匀变速直线的规律以及推论解答实验问题的能力,在平时练习中要加强基础知识的理解与应用,提高解决问题能力.
练习册系列答案
相关题目
| A、打点计时器不一定要使用交流电 | B、在释放小车前,小车应紧挨在打点计时器旁 | C、应先接通电源,待打点计时器开始打点后再释放小车 | D、要在小车到达定滑轮前使小车停止运动 |