ÌâÄ¿ÄÚÈÝ
ÀûÓÃË®µÎÏÂÂä¿ÉÒÔ²â³öµ±µØµÄÖØÁ¦¼ÓËÙ¶Èg£¬µ÷½ÚË®ÁúÍ·£¬ÈÃˮһµÎÒ»µÎµØÁ÷³ö£¬ÔÚË®ÁúÍ·µÄÕýÏ·½·ÅÒ»ÅÌ×Ó£¬µ÷½ÚÅÌ×ӵĸ߶ȣ¬Ê¹Ò»¸öË®µÎÅöµ½ÅÌ×ÓʱǡºÃÓÐÁíһˮµÎ´ÓË®ÁúÍ·¿ªÊ¼ÏÂÂ䣬¶ø¿ÕÖл¹ÓÐÒ»¸öÕýÔÚÏÂÂäÖеÄË®µÎ£®²â³öË®ÁúÍ·µ½ÅÌ×Ó¼ä¾àÀëΪh£¬ÔÙÓÃÃë±í²âʱ¼ä£¬ÒÔµÚÒ»¸öË®µÎÀ뿪ˮÁúÍ·¿ªÊ¼¼ÆÊ±£¬µ½µÚN¸öË®µÎÂäÔÚÅÌÖУ¬¹²ÓÃʱ¼äΪt£¬ÔòÖØÁ¦¼ÓËÙ¶Èg= £®
¡¾´ð°¸¡¿·ÖÎö£ºµ±Ò»µÎË®Åöµ½ÅÌ×Óʱ£¬Ç¡ºÃÓÐÁíÒ»µÎË®´ÓË®ÁúÍ·¿ªÊ¼ÏÂÂ䣬¶ø¿ÕÖл¹ÓÐÒ»µÎÕýÔÚÏÂÂäµÄË®µÎ£¬´ÓµÚÒ»µÎË®À뿪ˮÁúÍ·¿ªÊ¼£¬µ½µÚNµÎË®ÂäÖÁÅÌÖУ¨¼´N+2µÎË®À뿪ˮÁúÍ·£©£¬¹²ÓÃʱ¼äΪt£¨s£©£¬ÖªµÀÁ½µÎË®¼äµÄʱ¼ä¼ä¸ô£¬¸ù¾Ýh=
gt2Çó³öÖØÁ¦¼ÓËÙ¶È£®
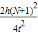
½â´ð£º½â£º´ÓµÚÒ»µÎË®À뿪ˮÁúÍ·¿ªÊ¼£¬µ½µÚNµÎË®ÂäÖÁÅÌÖУ¨¼´N+2µÎË®À뿪ˮÁúÍ·£©£¬¹²ÓÃʱ¼äΪt£¨s£©£¬ÖªµÀÁ½µÎË®¼äµÄʱ¼ä¼ä¸ôΪ¡÷t=
£¬ËùÒÔË®´ÓË®ÁúÍ·µ½ÅÌ×ÓµÄʱ¼äΪt¡ä=
£¬¸ù¾Ýh=
gt¡ä2£¬g=
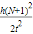
=
=
=
£®
¹Ê±¾Ìâ´ð°¸Îª£º
£®
µãÆÀ£º½â¾ö±¾ÌâµÄ¹Ø¼üÖªµÀÓÃÔȱäËÙÖ±ÏßÔ˶¯µÄÎ»ÒÆÊ±¼ä¹«Ê½h=
gt2Çó³öÖØÁ¦¼ÓËÙ¶È£®
½â´ð£º½â£º´ÓµÚÒ»µÎË®À뿪ˮÁúÍ·¿ªÊ¼£¬µ½µÚNµÎË®ÂäÖÁÅÌÖУ¨¼´N+2µÎË®À뿪ˮÁúÍ·£©£¬¹²ÓÃʱ¼äΪt£¨s£©£¬ÖªµÀÁ½µÎË®¼äµÄʱ¼ä¼ä¸ôΪ¡÷t=
¹Ê±¾Ìâ´ð°¸Îª£º
µãÆÀ£º½â¾ö±¾ÌâµÄ¹Ø¼üÖªµÀÓÃÔȱäËÙÖ±ÏßÔ˶¯µÄÎ»ÒÆÊ±¼ä¹«Ê½h=
Á·Ï°²áϵÁдð°¸
Ïà¹ØÌâÄ¿