题目内容
如图甲所示,S点为振源,P点距S的距离为 r,t=0时刻S点由平衡位置开始振动,产生沿直线向右传播的简谐横波,图乙为P点从t1时刻开始振动的振动图像,则以下说法正确的是
![]()
A.t=0时刻振源S的振动方向沿y轴负方向
B.t2时刻P点振动速度最大,方向沿y轴负方向
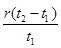
C.该简谐波的波长为![]()
D.若波源停止振动,则P点也马上停止振动
【答案】
C
【解析】
试题分析:据题意,当机械波在t1时刻刚传到P点时,P点的起振方向向上,说明这列波的起振方向向上,则t=0时,振源的振动方向沿y轴正方向,A选项错误;据图可知,t2时刻质点P处于平衡位置向上振动,即此时质点P具有向上的最大速度,B选项错误;这列波从波源S传到距离r的P点时所用时间为t1,则这列波的传播速度为v=r/t1,那么句图可得这列波的波长为λ=vT=
,则C选项正确;如果波源停止振动,则P点需要经过t1时间才会停止振动,所用D选项错误。
考点:本题考查机械波的传播方向与质点振动方向关系问题。
练习册系列答案
相关题目
如图甲所示,O点为振源,OP=s,t=0时刻O点由平衡位置开始振动,产生向右沿直线传播的简谐横波.图2乙为从t=0时刻开始描绘的P点的振动图象.下列判断中正确的是( )
| A、该波的频率为t2-t1 | ||
B、这列波的波长为
| ||
| C、t=0时刻,振源O振动的方向沿y轴正方向 | ||
| D、t=t2时刻,P点的振动方向沿y轴负方向 |