ÌâÄ¿ÄÚÈÝ
Ë®Æ½ÃæÉÏÓÐÖÊÁ¿ÎªM=2kgµÄ³¤Ä¾°å£¬Ò»ÖÊÁ¿Îªm=1kgµÄСÌú¿éÒÔ³õËÙ¶È´óСv=4m/s´Ó³¤Ä¾°åµÄÖеãÏò×óÔ˶¯£®Í¬Ê±£¬³¤Ä¾°åÔÚˮƽÀÁ¦×÷ÓÃÏÂʼÖÕ×öËÙ¶È´óСΪv=1m/sµÄÏòÓÒµÄÔÈËÙÔ˶¯£¬ÒÑ֪СÌú¿éÓëľ°å¡¢Ä¾°åÓëË®Æ½ÃæµÄ¶¯Ä¦²ÁÒòÊýΪ¦Ì=0.5£®Çó£¨1£©ÔÚ±£Ö¤Ð¡Ìú¿é²»ÄÜ´Ó³¤Ä¾°å×ó¶ËµôϵÄǰÌáÏ£¬³¤Ä¾°åÖÁÉٶ೤£¿
£¨2£©Ð¡Ìú¿é´ÓÖе㿪ʼÔ˶¯µ½×îÖÕÔÈËÙÔ˶¯µÄ¹ý³ÌÖÐÀÁ¦×öÁ˶àÉÙ¹¦£¿
¡¾´ð°¸¡¿·ÖÎö£º¸ù¾ÝÌâÒâ·ÖÎöСÌú¿éÔÚ³¤Ä¾°åÉÏÏȼõËÙºó·´Ïò¼ÓËÙ£¬×îÖÕÓ볤ľ°å¾ßÓÐÏàͬµÄËÙ¶È£¬Ôڸùý³ÌÖÐËûÃÇÖ®¼äµÄÏà¶ÔÎ»ÒÆ¼´°å³¤µÄÒ»°ë£¬ÓÉľ°åÔÈËÙÔ˶¯ÊÜÁ¦Æ½ºâ¿ÉÇóÀÁ¦F£¬ÔÚÇó³öÎ»ÒÆ£¬Óɹ¦µÄ¶¨ÒåʽÇ󹦣®
½â´ð£º½â£ºÒÔľ°åµÄËÙ¶È·½ÏòΪÕý·½Ïò
£¨1£©Ð¡Ìú¿éÔÚ¼õËÙµ½0ÔÙ¼ÓËÙµ½vµÄ¼ÓËÙ¶È£¬ÓÉÅ£¶ÙµÚ¶þ¶¨Âɵãº-¦Ìmg=ma
a=¦Ìg=0.5×10=5m/s2
Ô˶¯Ê±¼ä
=
=1s
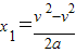
СÌú¿éÔ˶¯µÄÎ»ÒÆ
=
ľ°åµÄÎ»ÒÆx2=vt=1×1=1m
£¬
L¡Ý5m
´úÈëÊý¾ÝµÃ£¬L¡Ý5m
£¨2£©ÓÉľ°åÔÈËÙÔ˶¯ÊÜÁ¦Æ½ºâµÃ
F=¦Ìmg+¦Ì£¨M+m£©g=¦Ì£¨M+2m£©g
=0.5×£¨2+2×1£©×10
=20N
Óɹ¦µÄ¶¨ÒåWF=Fx2=20×1=20J
´ð£º£¨1£©ÔÚ±£Ö¤Ð¡Ìú¿é²»ÄÜ´Ó³¤Ä¾°å×ó¶ËµôϵÄǰÌáÏ£¬³¤Ä¾°åÖÁÉÙ5m
£¨2£©Ð¡Ìú¿é´ÓÖе㿪ʼÔ˶¯µ½×îÖÕÔÈËÙÔ˶¯µÄ¹ý³ÌÖÐÀÁ¦×öÁË20J¹¦£®
µãÆÀ£º¿¼²éÁËÎïÌå¼äµÄÏà¶ÔÔ˶¯£¬Ïà¶ÔÎ»ÒÆµÄÇ󷨣¬¹¦µÄ¶¨Òå¼°Å£¶ÙÔ˶¯¶¨ÂÉÏà½áºÏ£®
½â´ð£º½â£ºÒÔľ°åµÄËÙ¶È·½ÏòΪÕý·½Ïò
£¨1£©Ð¡Ìú¿éÔÚ¼õËÙµ½0ÔÙ¼ÓËÙµ½vµÄ¼ÓËÙ¶È£¬ÓÉÅ£¶ÙµÚ¶þ¶¨Âɵãº-¦Ìmg=ma
a=¦Ìg=0.5×10=5m/s2
Ô˶¯Ê±¼ä
СÌú¿éÔ˶¯µÄÎ»ÒÆ
ľ°åµÄÎ»ÒÆx2=vt=1×1=1m
L¡Ý5m
´úÈëÊý¾ÝµÃ£¬L¡Ý5m
£¨2£©ÓÉľ°åÔÈËÙÔ˶¯ÊÜÁ¦Æ½ºâµÃ
F=¦Ìmg+¦Ì£¨M+m£©g=¦Ì£¨M+2m£©g
=0.5×£¨2+2×1£©×10
=20N
Óɹ¦µÄ¶¨ÒåWF=Fx2=20×1=20J
´ð£º£¨1£©ÔÚ±£Ö¤Ð¡Ìú¿é²»ÄÜ´Ó³¤Ä¾°å×ó¶ËµôϵÄǰÌáÏ£¬³¤Ä¾°åÖÁÉÙ5m
£¨2£©Ð¡Ìú¿é´ÓÖе㿪ʼÔ˶¯µ½×îÖÕÔÈËÙÔ˶¯µÄ¹ý³ÌÖÐÀÁ¦×öÁË20J¹¦£®
µãÆÀ£º¿¼²éÁËÎïÌå¼äµÄÏà¶ÔÔ˶¯£¬Ïà¶ÔÎ»ÒÆµÄÇ󷨣¬¹¦µÄ¶¨Òå¼°Å£¶ÙÔ˶¯¶¨ÂÉÏà½áºÏ£®
Á·Ï°²áϵÁдð°¸
Ïà¹ØÌâÄ¿