题目内容
做匀加速直线运动的物体,速度从v增加到2v时经过的位移是x,则它的速度从3v增加到4v时所发生的位移是( )A.
B.
C.
D.
【答案】分析:根据匀变速直线运动的速度位移关系
代入数据直接得:
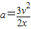
解答:解:令物体做匀加速直线运动的加速度为a,则根据匀变速直线运动的速度位移关系
有:
(2v)2-v2=2ax,则有
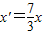
当物体速度由3v增加到4v时,同样根据速度位移关系有:
(4v)2-(3v)2=2ax′
代入
得:
故选D
点评:根据速度位移关系列式求解,注意速度因为是匀加速直线运动,物体速度由v增加到2v和由3v增加到4v时间相同,物体在这两段加速的时间里平均速度不同.
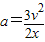
解答:解:令物体做匀加速直线运动的加速度为a,则根据匀变速直线运动的速度位移关系
(2v)2-v2=2ax,则有
当物体速度由3v增加到4v时,同样根据速度位移关系有:
(4v)2-(3v)2=2ax′
代入
故选D
点评:根据速度位移关系列式求解,注意速度因为是匀加速直线运动,物体速度由v增加到2v和由3v增加到4v时间相同,物体在这两段加速的时间里平均速度不同.
练习册系列答案
相关题目