题目内容
从20m高处以15m/s的速度水平抛出一个物体,物体的质量m=1kg,不计空气阻力,g取10m/s2.求:(1)物体在空中运动的时间多长?
(2)物体落地点离抛出点的水平距离s为多大?
(3)人抛物体时对物体做了多少功?
(4)物体落地速度多大?
【答案】分析:平抛运动在水平方向上做匀速直线运动,在竖直方向上做自由落体运动,根据高度求出运动的时间,结合时间和初速度求出水平距离.根据动能定理分别求出人抛出物体时对物体的做功大小以及物体落地时的速度大小.
解答:解:(1)根据h=
得,t=
.
(2)水平距离s=vt=15×2m=30m.
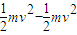
(3)根据动能定理得,人对物体做功W=
.
(4)根据动能定理得,mgh=
解得
=25m/s.
设速度与水平方向的夹角为θ,则cos
,知θ=53°.
答:(1)物体在空中运动的时间为2s.
(2)物体落地点离抛出点的水平距离s为30m.
(3)人抛物体时对物体做了112.5J.
(4)落地的速度大小为25m/s,方向与水平方向的夹角为53°.
点评:解决本题的关键知道平抛运动在水平方向上和竖直方向上的运动规律,结合运动学公式进行求解.对于第(4)可以通过动能定理求解,也可以通过平抛运动的规律进行求解.
解答:解:(1)根据h=
(2)水平距离s=vt=15×2m=30m.
(3)根据动能定理得,人对物体做功W=
(4)根据动能定理得,mgh=
解得
设速度与水平方向的夹角为θ,则cos
答:(1)物体在空中运动的时间为2s.
(2)物体落地点离抛出点的水平距离s为30m.
(3)人抛物体时对物体做了112.5J.
(4)落地的速度大小为25m/s,方向与水平方向的夹角为53°.
点评:解决本题的关键知道平抛运动在水平方向上和竖直方向上的运动规律,结合运动学公式进行求解.对于第(4)可以通过动能定理求解,也可以通过平抛运动的规律进行求解.
练习册系列答案
相关题目