题目内容

质量分别为m1和m2的两个小物块用轻绳连结,绳跨过位于倾角α =30°的光滑斜面顶端的轻滑轮,滑轮与转轴之间的摩擦不计,斜面固定在水平桌面上,如图所示.第一次,m1悬空,m2放在斜面上,用t表示m2自斜面底端由静止开始运动至斜面顶端所需的时间.第二次,将m1和m2位置互换,使m2悬空,m1放在斜面上,发现m1自斜面底端由静止开始运动至斜面顶端所需的时间为.求m1与m2之比.

第一次,小物块受力情况如图所示,设T1为绳中张力,a1为两物块加速度的大小, l为斜面长,则有

                      (1)

                 (2)

                            (3)

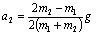
第二次,m1与m2交换位置.设绳中张力为T2,两物块加速度的大小为a2,则有

               (4)

               (5)

               (6)

由 (1)、(2) 式注意到α =30°得

               (7)

由 (4)、(5) 式注意到α =30°得

               (8)

由 (3)、(6) 式得

               (9)

由 (7)、(8)、(9) 式可解得

               (10)

评分标准

本题15分,(1)、(2)、(3)、(4)、(5)、(6)式各2分,求得(10)式再给3分

练习册系列答案
相关题目

违法和不良信息举报电话:027-86699610 举报邮箱:58377363@163.com

精英家教网