题目内容

如图所示,匀强电场中A、B、C三点构成一个直角三角形,AC边在同一个等势面上,BC边长m,∠ACB=60°.把电荷量q=-2×10-10 C的点电荷由A点移动到B点,电场力做功4.8×10-8 J,取B点的电势为零,求:

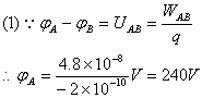
(1)A点的电势;

(2)匀强电场的大小,并在图中画出场强的方向.

答案:
解析:

  解:

  

  (2)场强垂直于AC边,方向如图所示

  


练习册系列答案
相关题目

违法和不良信息举报电话:027-86699610 举报邮箱:58377363@163.com

精英家教网