题目内容
如图所示,穿过光滑水平平面中央小孔O的细线与平面上质量为m的小球P相连,手拉细线的另一端,让小球在水平面内以角速度ω1沿半径为a的圆周做匀速圆周运动.所有摩擦均不考虑. 求:(1)这时细线上的张力多大?
(2)若突然松开手中的细线,经时间△t再握紧细线,随后小球沿半径为b的圆周做匀速圆周运动.试问:△t等于多大?这时的角速度ω2为多大?
【答案】分析:由题意可知,小球做匀速圆周运动所需要的向心力是由细线的拉力提供的.则可求出细线上的张力大小;当突然松开手时,小球沿切线方向匀速飞出.当再次握住时,小球又做匀速圆周运动.由半径a与ω1可求出飞出之前的速度.再由半径b,结合运动的分解可求出小球以半径b做匀速圆周运动的线速度.从而可求出此时的角速度.由于是匀速飞出,所以利用直角三角形,由长度a、b可求出时间.
解答:解:(1)细线的拉力提供小球需要的向心力,
由牛顿第二定律:T=mω12a
故细线的拉力等于mω12a
(2)松手后小球由半径为a圆周运动到半径为b的圆周上,做的是匀速直线运动
如图所示:

则时间
小球匀速直线运动速度要在瞬间变到沿圆周切向,实际的运动可看做沿绳和垂直绳的两个运动同时进行,
有v2=vsinθ=v
,
即
则得:
所以时间
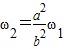
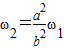
,这时的角速度
点评:搞清小球做匀速圆周运动所需要的向心力来源,同时本题巧妙运用三角函数求出松手前后的线速度关系.值得注意是松手后小球做的是匀速直线运动.
解答:解:(1)细线的拉力提供小球需要的向心力,
由牛顿第二定律:T=mω12a
故细线的拉力等于mω12a
(2)松手后小球由半径为a圆周运动到半径为b的圆周上,做的是匀速直线运动
如图所示:
则时间
小球匀速直线运动速度要在瞬间变到沿圆周切向,实际的运动可看做沿绳和垂直绳的两个运动同时进行,
有v2=vsinθ=v
即
则得:
所以时间
点评:搞清小球做匀速圆周运动所需要的向心力来源,同时本题巧妙运用三角函数求出松手前后的线速度关系.值得注意是松手后小球做的是匀速直线运动.
练习册系列答案
相关题目