题目内容

(10分)宇航员站在某一星球表面上的某高处,沿水平方向抛出一小球。经过时间t,小球落到星球表面,测得抛出点与落地点之间的距离为L。若抛出时的初速度增大到2倍,则抛出点与落地点之间的距离为L。已知两落地点在同一水平面上,该星球的半径为R,万有引力常数为G。求该星球的质量M。

 

【答案】

【解析】

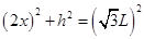
试题分析:设抛出点的高度为,第一次平抛的水平射程为x则有:    ①

由平抛动能的规律得知,当初速度增大到2倍,其水平射程也增大到2x,可得:  ②

联立解得:  ③

设该星球上的重力加速度为g,由平抛运动的规律得    ④

由万有引力定律与牛顿第二定律得:(式中m为小球的质量)  ⑤

联立以上各式得:

考点:平抛运动、万有引力定律

 

练习册系列答案
相关题目

违法和不良信息举报电话:027-86699610 举报邮箱:58377363@163.com

精英家教网