题目内容

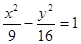
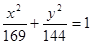
以椭圆的右焦点为圆心,且与双曲线的渐近线相切的圆的方程为             .

 

【答案】

【解析】

试题分析:椭圆的右焦点为,双曲线的渐近线方程为,由圆与双曲线的渐近线相切知,圆的半径为点的距离,即,故所求圆的方程为.

考点:椭圆、双曲线的几何性质,距离公式,圆的方程.

 

练习册系列答案
相关题目

违法和不良信息举报电话:027-86699610 举报邮箱:58377363@163.com

精英家教网