题目内容
如图所示,在空间中存在垂直纸面向里的场强为B匀强磁场,其边界AB、CD的宽度为d,在左边界的Q点处有一质量为m,带电量为负q的粒子沿与左边界成30°的方向射入磁场,粒子重力不计.求:(1)带电粒子能从AB边界飞出的最大速度?
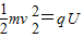
(2)若带电粒子能垂直CD边界飞出磁场,穿过小孔进入如图所示的匀强电场中减速至零且不碰到负极板,则极板间电压多大?
(3)若带电粒子的速度是
【答案】分析:(1)先作出粒子运动的轨迹,根据几何关系求出粒子能从左边界射出时临界情况的轨道半径,根据洛伦兹力提供向心力公式即可求解速度;
(2)同理求出粒子能从右边界射出时的半径,根据洛伦兹力提供向心力公式求解速度,根据动能定理求解极板间电压;
(3)根据速度求出粒子运动的半径,根据几何关系即可求得范围.
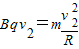
解答:解:(1)粒子能从左边界射出,临界情况有R+Rcos30°=d


所以粒子能从左边界射出速度应满足
所以最大速度为
(2)粒子能从右边界射出



解得
粒子不碰到右极板所加电压满足的条件
(3)当粒子速度为是
时 则R′=
,解得 R′=2d粒子,
若粒子沿OA方向射出,则会打在C点,根据几何关系可知:C点到O点在CD方向上的范围为l1=
粒子斜向下与右边界垂直方向成30°角射入时,刚好打在CD边界上,角度再大就不能打在右边界上了,根据几何关系可知l2=
所以范围为:

答:(1)带电粒子能从AB边界飞出的最大速度为
;
(2)若带电粒子能垂直CD边界飞出磁场,穿过小孔进入如图所示的匀强电场中减速至零且不碰到负极板,则极板间电压满足
;
(3)若带电粒子的速度是
,并可以从Q点沿纸面各个方向射入磁场,则粒子能打到CD边界的范围为
.
点评:带电粒子在磁场中的运动要把握其运动规律,在磁场中要注意找出相应的几何关系,从而确定圆心和半径,画出运动轨迹,难度适中.
(2)同理求出粒子能从右边界射出时的半径,根据洛伦兹力提供向心力公式求解速度,根据动能定理求解极板间电压;
(3)根据速度求出粒子运动的半径,根据几何关系即可求得范围.
解答:解:(1)粒子能从左边界射出,临界情况有R+Rcos30°=d
所以粒子能从左边界射出速度应满足
所以最大速度为
(2)粒子能从右边界射出
解得
粒子不碰到右极板所加电压满足的条件
(3)当粒子速度为是
若粒子沿OA方向射出,则会打在C点,根据几何关系可知:C点到O点在CD方向上的范围为l1=
粒子斜向下与右边界垂直方向成30°角射入时,刚好打在CD边界上,角度再大就不能打在右边界上了,根据几何关系可知l2=
所以范围为:
答:(1)带电粒子能从AB边界飞出的最大速度为
(2)若带电粒子能垂直CD边界飞出磁场,穿过小孔进入如图所示的匀强电场中减速至零且不碰到负极板,则极板间电压满足
(3)若带电粒子的速度是
点评:带电粒子在磁场中的运动要把握其运动规律,在磁场中要注意找出相应的几何关系,从而确定圆心和半径,画出运动轨迹,难度适中.
练习册系列答案
相关题目