ÌâÄ¿ÄÚÈÝ
ÓÒͼΪÑéÖ¤»úеÄÜÊØºã¶¨ÂɵÄʵÑé×°ÖÃʾÒâͼ£®ÏÖÓÐµÄÆ÷²ÄΪ£º´øÌú¼ÐµÄÌú¼Ų̈¡¢µç´Å´òµã¼ÆÊ±Æ÷¡¢Ö½´ø¡¢´øÌú¼ÐµÄÖØ´¸¡¢µ¼Ïß¡¢¿ª¹Ø£®»Ø´ðÏÂÁÐÎÊÌ⣺£¨1£©ÎªÍê³É´ËʵÑ飬³ýÁËËù¸øµÄÆ÷²Ä£¬»¹ÐèÒªµÄÆ÷²ÄÓÐ______£®£¨ÌîÈëÕýÈ·Ñ¡ÏîǰµÄ×Öĸ£©
A£®Ãë±í B£®¿Ì¶È³ß
C£®0¡«6VµÄ½»Á÷µçÔ´ D£®0¡«6VµÄÖ±Á÷µçÔ´
£¨2£©ÊµÑéÖÐÎó²î²úÉúµÄÔÒòÓÐ______¡¢______£®£¨Ð´³öÁ½¸öÔÒò£©
£¨3£©ÈôÒÑÖª´òµã¼ÆÊ±Æ÷µÄµçԴƵÂÊΪ50Hz¡¢µ±µØµÄÖØÁ¦¼ÓËÙ¶ÈΪg=9.80m/s2£¬ÖØÎïÖÊÁ¿Îªm kg£¬ÊµÑéÖеõ½Ò»Ìõµã¼£ÇåÎúµÄÖ½´øÈçͼËùʾ£¬ÆäÖÐOΪµÚÒ»¸öµã£¬A¡¢B¡¢CΪÁíÍâ3¸öÁ¬Ðøµã£¬ÓÉͼÖÐÊý¾Ý£¬¿ÉÖªÖØÎïÓÉ0µãÔ˶¯µ½BµãÖØÁ¦ÊÆÄܼõÉÙÁ¿¡÷EP=______J£¬¶¯ÄÜÔöÁ¿¡÷EK=______J£¬µÃ³öµÄ½áÂÛÊÇ______£®£¨¼ÆËã½á¹û±£ÁôÈýλÓÐЧÊý×Ö£©
¡¾´ð°¸¡¿·ÖÎö£º£¨1£©½â¾öʵÑéÎÊÌâÊ×ÏÈÒªÕÆÎÕ¸ÃʵÑéÔÀí£¬Á˽âʵÑéµÄÒÇÆ÷¡¢²Ù×÷²½ÖèºÍÊý¾Ý´¦ÀíÒÔ¼°×¢ÒâÊÂÏ
£¨2£©Ö»ÒªÉæ¼°µ½Êý¾ÝµÄ²âÁ¿¾ÍÓÐÒ»¶¨ÓÐżȻÎó²î²úÉú£¬Í¬Ê±¸ÃʵÑéÖÐÓÉÓÚ²»¿É±ÜÃâµÄ´æÔÚĦ²Á×èÁ¦£¬Òò´Ë»áÓÐÎó²î²úÉú£»
£¨3£©Ö½´ø·¨ÊµÑéÖУ¬ÈôÖ½´øÔȱäËÙÖ±ÏßÔ˶¯£¬²âµÃÖ½´øÉϵĵã¼ä¾à£¬ÀûÓÃÔȱäËÙÖ±ÏßÔ˶¯µÄÍÆÂÛ£¬¿É¼ÆËã³ö´ò³öijµãʱֽ´øÔ˶¯µÄ˲ʱËÙ¶È£¬´Ó¶øÇó³ö¶¯ÄÜ£®¸ù¾Ý¹¦ÄܹØÏµµÃÖØÁ¦ÊÆÄܼõСÁ¿µÈÓÚÖØÁ¦×ö¹¦µÄÊýÖµ£®
½â´ð£º½â£º£¨1£©Í¨¹ý´òµã¼ÆÊ±Æ÷¼ÆËãʱ¼ä£¬¹Ê²»ÐèÒªÃë±í£¬´òµã¼ÆÊ±Æ÷Ó¦¸ÃÓë½»Á÷µçÔ´Á¬½Ó£¬ÐèÒª¿Ì¶È³ß²âÁ¿Ö½´øÉÏÁ½µã¼äµÄ¾àÀ룬¹ÊAD´íÎó£¬BCÕýÈ·£®
¹ÊÑ¡BC£®
£¨2£©Ö»ÒªÉæ¼°µ½Êý¾ÝµÄ²âÁ¿¾ÍÓÐÒ»¶¨ÓÐżȻÎó²î²úÉú£¬Í¬Ê±¸ÃʵÑéÖÐÓÉÓÚ²»¿É±ÜÃâµÄ´æÔÚĦ²Á×èÁ¦£¬Òò´Ë»áÓÐÎó²î²úÉú£¬¹Ê²úÉúÎó²îµÄÔÒò¿ÉÄÜÓУºÖ½´øÓë´òµã¼ÆÊ±Æ÷Ö®¼äÓÐĦ²Á×èÁ¦£¬¿Ì¶È³ß²âÁ¿ÏÂÂä¸ß¶ÈʱÓÐÎó²î£®
¹Ê´ð°¸Îª£ºÖ½´øÓë´òµã¼ÆÊ±Æ÷Ö®¼äÓÐĦ²Á×èÁ¦£¬¿Ì¶È³ß²âÁ¿ÏÂÂä¸ß¶ÈʱÓÐÎó²î£®
£¨3£©ÖØÁ¦ÊÆÄܵļõСÁ¿µÈÓÚÖØÁ¦Ëù×ö¹¦£¬¹Ê¿ÉÖªÖØÎïÓÉ0µãÔ˶¯µ½BµãÖØÁ¦ÊÆÄܼõÉÙÁ¿¡÷EP=mgh=0.776×9.80m=7.62mJ£»
¸ù¾ÝÔȱäËÙÖ±ÏßÔ˶¯ÖУ¬Ê±¼äÖеãµÄ˲ʱËٶȵÈÓڸùý³ÌÖÐµÄÆ½¾ùËÙ¶ÈÓУº

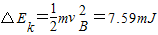
¶¯ÄÜÔöÁ¿Îª£º

ÓɼÆËã¿ÉÖª£¬¶¯ÄܵÄÔöÁ¿ºÍÖØÁ¦ÊÆÄܵļõСÁ¿»ù±¾ÏàµÈ£¬¹ÊÔÚÎó²îÔÊÐíµÄ·¶Î§ÄÚ£¬ÎïÌåµÄ»úеÄÜÊØºã£®
¹Ê´ð°¸Îª£º7.62m£»7.59m£»ÔÚÎó²îÔÊÐíµÄ·¶Î§ÄÚ£¬ÎïÌåµÄ»úеÄÜÊØºã£®
µãÆÀ£ºÃ÷ȷʵÑéÔÀí£¬ÔËÓÃÔ˶¯Ñ§¹«Ê½ºÍ¶¯ÄÜ¡¢ÖØÁ¦ÊÆÄ͍ܵÒåʽ½â¾öÎÊÌâÊǸÃʵÑéµÄ³£¹æÎÊÌ⣻ҪעÒⵥλµÄ»»ËãºÍÓÐЧÊý×ֵı£Áô£®
£¨2£©Ö»ÒªÉæ¼°µ½Êý¾ÝµÄ²âÁ¿¾ÍÓÐÒ»¶¨ÓÐżȻÎó²î²úÉú£¬Í¬Ê±¸ÃʵÑéÖÐÓÉÓÚ²»¿É±ÜÃâµÄ´æÔÚĦ²Á×èÁ¦£¬Òò´Ë»áÓÐÎó²î²úÉú£»
£¨3£©Ö½´ø·¨ÊµÑéÖУ¬ÈôÖ½´øÔȱäËÙÖ±ÏßÔ˶¯£¬²âµÃÖ½´øÉϵĵã¼ä¾à£¬ÀûÓÃÔȱäËÙÖ±ÏßÔ˶¯µÄÍÆÂÛ£¬¿É¼ÆËã³ö´ò³öijµãʱֽ´øÔ˶¯µÄ˲ʱËÙ¶È£¬´Ó¶øÇó³ö¶¯ÄÜ£®¸ù¾Ý¹¦ÄܹØÏµµÃÖØÁ¦ÊÆÄܼõСÁ¿µÈÓÚÖØÁ¦×ö¹¦µÄÊýÖµ£®
½â´ð£º½â£º£¨1£©Í¨¹ý´òµã¼ÆÊ±Æ÷¼ÆËãʱ¼ä£¬¹Ê²»ÐèÒªÃë±í£¬´òµã¼ÆÊ±Æ÷Ó¦¸ÃÓë½»Á÷µçÔ´Á¬½Ó£¬ÐèÒª¿Ì¶È³ß²âÁ¿Ö½´øÉÏÁ½µã¼äµÄ¾àÀ룬¹ÊAD´íÎó£¬BCÕýÈ·£®
¹ÊÑ¡BC£®
£¨2£©Ö»ÒªÉæ¼°µ½Êý¾ÝµÄ²âÁ¿¾ÍÓÐÒ»¶¨ÓÐżȻÎó²î²úÉú£¬Í¬Ê±¸ÃʵÑéÖÐÓÉÓÚ²»¿É±ÜÃâµÄ´æÔÚĦ²Á×èÁ¦£¬Òò´Ë»áÓÐÎó²î²úÉú£¬¹Ê²úÉúÎó²îµÄÔÒò¿ÉÄÜÓУºÖ½´øÓë´òµã¼ÆÊ±Æ÷Ö®¼äÓÐĦ²Á×èÁ¦£¬¿Ì¶È³ß²âÁ¿ÏÂÂä¸ß¶ÈʱÓÐÎó²î£®
¹Ê´ð°¸Îª£ºÖ½´øÓë´òµã¼ÆÊ±Æ÷Ö®¼äÓÐĦ²Á×èÁ¦£¬¿Ì¶È³ß²âÁ¿ÏÂÂä¸ß¶ÈʱÓÐÎó²î£®
£¨3£©ÖØÁ¦ÊÆÄܵļõСÁ¿µÈÓÚÖØÁ¦Ëù×ö¹¦£¬¹Ê¿ÉÖªÖØÎïÓÉ0µãÔ˶¯µ½BµãÖØÁ¦ÊÆÄܼõÉÙÁ¿¡÷EP=mgh=0.776×9.80m=7.62mJ£»
¸ù¾ÝÔȱäËÙÖ±ÏßÔ˶¯ÖУ¬Ê±¼äÖеãµÄ˲ʱËٶȵÈÓڸùý³ÌÖÐµÄÆ½¾ùËÙ¶ÈÓУº
¶¯ÄÜÔöÁ¿Îª£º
ÓɼÆËã¿ÉÖª£¬¶¯ÄܵÄÔöÁ¿ºÍÖØÁ¦ÊÆÄܵļõСÁ¿»ù±¾ÏàµÈ£¬¹ÊÔÚÎó²îÔÊÐíµÄ·¶Î§ÄÚ£¬ÎïÌåµÄ»úеÄÜÊØºã£®
¹Ê´ð°¸Îª£º7.62m£»7.59m£»ÔÚÎó²îÔÊÐíµÄ·¶Î§ÄÚ£¬ÎïÌåµÄ»úеÄÜÊØºã£®
µãÆÀ£ºÃ÷ȷʵÑéÔÀí£¬ÔËÓÃÔ˶¯Ñ§¹«Ê½ºÍ¶¯ÄÜ¡¢ÖØÁ¦ÊÆÄ͍ܵÒåʽ½â¾öÎÊÌâÊǸÃʵÑéµÄ³£¹æÎÊÌ⣻ҪעÒⵥλµÄ»»ËãºÍÓÐЧÊý×ֵı£Áô£®
Á·Ï°²áϵÁдð°¸
Ïà¹ØÌâÄ¿