题目内容

(10分)如图所示,竖直放置的圆形框架半径R=10m,A、B、C三点正好是圆上三点,而AC正好是该圆的直径。ABC为光滑轨道,B处有一小圆弧连接可使小球顺利转弯,AB与竖直方向夹角为37°。如果套在杆上的小球自A点静止释放(图中小球未画出), 求小球运动到C点时间。

(已知g=10m/s2,sin37°=0.6,cos37°=0.8)

 

 

【答案】

【解析】

试题分析:设AB、BC长度为s1、s2

由几何关系得:

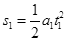
小球在斜面AB做匀加速直线运动,由 

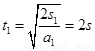
解得:          (2分)

 

解得:        (2分)

小球到达B点速度     (1分)

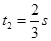
小球在斜面BC做匀加速直线运动,由 

解得:         (2分)

 

解得:           (2分)

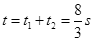
则总时间为        (1分)

考点:本题考查动力学问题。

 

练习册系列答案
相关题目

违法和不良信息举报电话:027-86699610 举报邮箱:58377363@163.com

精英家教网