题目内容
一辆轿车以速度υ沿直线行驶,突然发现正前方一辆货车正以υ1的速度同向行驶,两车相距S,且υ1<υ,轿车司机立即刹车,则轿车刹车的加速度大小至少应多大,才能避免与货车相撞?
【答案】分析:在轿车与货车速度相等时,是它们的距离最小的时候,如果此时没有相撞,那就不可能再相撞了,本题中如果速度相等时刚好相遇,此时轿车刹车的加速度为最小加速度.
解答:解:(1)设经时间t客车速度与货车相等,轿车刹车的加速度大小为a,
则:由υ1=V-at,
解得t=
此时,轿车的位移为s,有:2(-a)s=
货车的位移为s1,有:s1=υ1t
由s=s1+s
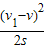
得:a=
答:轿车刹车的加速度大小至少为
,才能避免与货车相撞.
点评:这是两车的追击问题,速度相等时,它们的距离最小,这是判断这道题的关键所在,知道这一点,本题就没有问题了.
解答:解:(1)设经时间t客车速度与货车相等,轿车刹车的加速度大小为a,
则:由υ1=V-at,
解得t=
此时,轿车的位移为s,有:2(-a)s=
货车的位移为s1,有:s1=υ1t
由s=s1+s
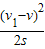
得:a=
答:轿车刹车的加速度大小至少为
点评:这是两车的追击问题,速度相等时,它们的距离最小,这是判断这道题的关键所在,知道这一点,本题就没有问题了.
练习册系列答案
相关题目