题目内容

一质量为m、带电荷量为+q的小球以水平初速度v0进入竖直向上的匀强电场中,如图甲所示.今测得小球进入电场后在竖直方向下降的高度h与水平方向的位移L之间的关系如图乙所示.根据图乙给出的信息(重力加速度为g).求:

(1)匀强电场场强的大小.

(2)小球从进入匀强电场到下降h高度的过程中,电场力做的功.

(3)小球在h高度处的动能.

答案:
解析:

  解析:

  (1)小球进入电场后,水平方向做匀速直线运动,设经过时间t,

  水平方向:v0tL  (1分)

  竖直方向:h  (2分)

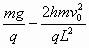
  所以E  (2分)

  (2)电场力做功为W=-qEh  (2分)

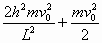
  (3)根据动能定理EkmghqEh  (3分)


练习册系列答案
相关题目

违法和不良信息举报电话:027-86699610 举报邮箱:58377363@163.com

精英家教网