题目内容

如图所示为一理想变压器与其它电学元件组成的电路,其中电流表、电压表均为理想电表,R为滑动变阻器,保持原线圈输入电压(有效值)不变,当滑片向上移动过程中,下列说法正确的是(  )

A.电流表A1示数不变

B.电流表A2示数变大

C.电压表的示数不变

D.变压器输入功率增大

 

【答案】

 C  

【解析】

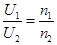
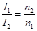
试题分析:由理想变压器的变压比,当保持不变,所以不变,再由欧姆定律,当滑片向上移动过程中R变大,不变,I2变小,所以电流表A2示数变小,再由可知,保持不变所以电流表A1示数也变小,所以A、B选项均错误,C选项正确;变压器输出功率不变I2变小可知P2减小,又因为理想变压器,所以变压器输入功率也减小,D选项错误。

考点:理想变压器 闭合电路欧姆定律

 

练习册系列答案
相关题目

违法和不良信息举报电话:027-86699610 举报邮箱:58377363@163.com

精英家教网