题目内容
(1)绳断开到第一次恢复自然长度的过程中弹簧释放的弹性势能Ep;
(2)在以后的运动过程中,滑块B是否会有速度为0的时刻?试定量分析证明.
【答案】分析:(1)由能量守恒定律与动量守恒定律可以求出弹簧的弹性势能.
(2)采用假设法,应用动量守恒定律与能量守恒定律分析答题.
解答:解:(1)当弹簧处压缩状态时,系统的机械能等于两滑块的动能和弹簧的弹性势能之和,当弹簧伸长到自然长度时,弹性势能为0,因这时滑块A的速度为0,故系统的机械能等于滑块B的动能.设这时滑块B的速度为v,则有E=
m2v2,
因系统所受外力为0,由动量守恒定律(m1+m2)v=m2 v,解得E=
;
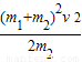
由于只有弹簧的弹力做功,系统的机械能守恒
(m1+m2)v2+EP=E,解得EP=
;
(2)假设在以后的运动中滑块B可以出现速度为0的时刻,并设此时A的速度为v1,
弹簧的弹性势能为Ep′,由机械能守恒定律得
m1v12+EP′=
,
根据动量守恒得(m1+m2) v=m1 v1,
求出v1代入上式得:
+EP′=
,
因为Ep′≥0,故得:
≤
;
即m1≥m2,这与已知条件中m1<m2不符.可见在以后的运动中不可能出现滑块B的速度为0的情况.
答:(1)绳断开到第一次恢复自然长度的过程中弹簧释放的弹性势能得EP=
;
(2)在以后的运动中不可能出现滑块B的速度为0的情况.
点评:分析清楚物体的运动过程,熟练应用动量守恒定律、能量守恒定律即可正确解题.反思:“假设法”是科学探索常用的方法之一,其特点是:先对某个结论提出可能的假设,再利用已知的规律知识对该假设进行剖析,其结论若符合题意的要求,则原假设成立.
(2)采用假设法,应用动量守恒定律与能量守恒定律分析答题.
解答:解:(1)当弹簧处压缩状态时,系统的机械能等于两滑块的动能和弹簧的弹性势能之和,当弹簧伸长到自然长度时,弹性势能为0,因这时滑块A的速度为0,故系统的机械能等于滑块B的动能.设这时滑块B的速度为v,则有E=
因系统所受外力为0,由动量守恒定律(m1+m2)v=m2 v,解得E=
由于只有弹簧的弹力做功,系统的机械能守恒
(2)假设在以后的运动中滑块B可以出现速度为0的时刻,并设此时A的速度为v1,
弹簧的弹性势能为Ep′,由机械能守恒定律得
根据动量守恒得(m1+m2) v=m1 v1,
求出v1代入上式得:
因为Ep′≥0,故得:
即m1≥m2,这与已知条件中m1<m2不符.可见在以后的运动中不可能出现滑块B的速度为0的情况.
答:(1)绳断开到第一次恢复自然长度的过程中弹簧释放的弹性势能得EP=
(2)在以后的运动中不可能出现滑块B的速度为0的情况.
点评:分析清楚物体的运动过程,熟练应用动量守恒定律、能量守恒定律即可正确解题.反思:“假设法”是科学探索常用的方法之一,其特点是:先对某个结论提出可能的假设,再利用已知的规律知识对该假设进行剖析,其结论若符合题意的要求,则原假设成立.
练习册系列答案
相关题目