题目内容

如图所示,空间存在着强度E=方向竖直向上的匀强电场,在电场内一长为的绝缘细线,一端固定在O点,一端拴着质量m、电荷量q的小球.现将细线拉直到水平位置,使小球由静止释放,当小球运动最高点时细线受到的拉力恰好达到它能承受的最大值而断裂.求:

(1)小球运动最高点时的速度;

(2)细线能承受的最大拉力;

(3)从断线开始计时,在t=时刻小球与O点的距离。

 

【答案】

 (1);(2)6mg;(3)

【解析】

试题分析:

(1)设小球运动到最高点时速度为v,只有重力和电场力做功,弹力不做功。对该过程由动能定理有,

     ①           (2分)

解得             (1分)

(2)在最高点,小球受三个力作用,重力,电场力和细线的拉力,由向心力公式得,

     ②(2分)

解得,T=6mg(1分)

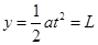
(2)小球在细线断裂后,带电小球做类平抛运动,合力竖直向上的,在竖直方向的加速度设为a,则

       ③(2分)

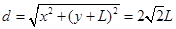
小球在t时刻

         (1分)

        (1分)

小球与O点的距离

     (2分)

考点: 动能定理的应用,向心力公式,带电粒子在电场中的偏转等知识

 

练习册系列答案
相关题目

违法和不良信息举报电话:027-86699610 举报邮箱:58377363@163.com

精英家教网