题目内容

实验室有一块量程为500μA,内阻Rg约为200Ω的电流表(称微安表μA),需要准确测量它的电阻,一同学根据实验室现有的器材设计了如图(甲)和图(乙)两种实验电路。已知实验室中的部分实验器材的规格如下:
毫安电流表:(量程1mA,内阻约100Ω)
滑动变阻器A:R1(20Ω,1A)
滑动变阻器B:R1(500Ω,0.5A)
电阻箱:R2(999.9Ω,1A)
直流电源:(电动势为3V,内阻很小)
不同阻值的定值电阻R3

(1)利用图(甲)所示的电路进行测量时,需要记录哪些实验数据?
________________________________________________________
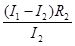
请用你记录的实验数据表示出测量的结果Rg=______________
(2)为了保证实验操作过程的安全(即使滑动变阻器R1的阻值调为0,也不会烧坏电流表),根据现有数据,在图(乙)所示的电路中,定值电阻器R3的阻值至少应为_________Ω,为了便于实验的调节,滑动变阻器R1应选______(选填“A”或“B”)。
(3)将图(丙)所示的实物图按图(甲)所示的电路连接成实验电路。

(4)如果毫安电流表的读数不准,与准确值略有差别,则_____________

(1)毫安电流表的示数I1和μA表的示数I2及电阻箱的阻值R2,   (2分)
Rg=(2分)(2)(2分), B(2分)
(3)如图(3分)(4)甲(2分)

解析

练习册系列答案
相关题目
实验室有一块老式电压表V1(说明书已经丢失),表盘上显示的量程为10V,它是由表头和一个分压电阻R串联而成.由于分压电阻R老化(其余部分完好),阻值发生了变化,使V1测得电压与实际电压不符,某同学想通过实验对该电压表进行校准.实验室提供的器材有:精英家教网
待校准的电压表V1:内阻约为15kΩ;
标准电压表V2:量程10V,内阻为20kΩ;
滑动变阻器R1:0~7kΩ;
直流电源E:电动势E=12V,内阻r约为5Ω;
单刀单掷开关S1
单刀双掷开关S2
不同阻值的定值电阻及导线若干
(1)按图1所示将电表接入电路,图中R2=0.8kΩ的定值电阻,图2是相应的实物连图,请将实物连图补充完整.
(2)单刀双掷开关S2向1闭合,闭合开关S1,调节滑动变阻器R1,读出V1、V2的读数分别为9.0V、8.0V;再将单刀双掷开关S2向2闭合,调节滑动变阻器R1,使V2的读数仍为8.0V,此时V1的读数为8.5V.则分压电阻R老化后,阻值变
 
(填“大”或“小”);打开待校准的电压表V1的外壳,拆下分压电阻R,若精确测得该电阻为13.3kΩ,要使电压表V1读数准确,应将此分压电阻换成阻值为
 
的定值电阻.
(3)用图1中实验器材,将调校后的电压表与标准电压表进行核对,在图3虚线框中设计出相应校准电路图,待核对的电压表符号仍用V1来表示.要求:a.电表从零刻度开始核对;b.保证两电表绝对安全,即无论电路如何调节,两表的最大电压只能接近满偏,但不能超过满偏.

违法和不良信息举报电话:027-86699610 举报邮箱:58377363@163.com

精英家教网