题目内容

如图1所示,某同学设计了一个测量金属丝电阻率的实验.将直径为d的待测金属丝固定在接线柱a、b上,在金属丝上安一个小金属滑片c,连接好电路,电路中R是保护电阻(阻值未知).已知电压表的内阻远大于金属丝的电阻,电压表的分流作用可以忽略不计.闭合开关后电流表的读数为I,调节滑片c的位置,分别测量出长度L及所对应的电压值U,然后作出U-L图象,如图2所示.(1)在图线上取一点P,P点的横坐标值为L,纵坐标值为U,由此可得该金属丝的电阻率为______.
(2)用实线连接实验线路图

【答案】分析:(1)由欧姆定律求出电阻阻值,由电阻定律求出电阻率.
(2)保护电阻应该与待测金属丝串联,根据题意确定电流表的接法,然后作出实验电路图.
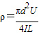
解答:解:(1)由欧姆定律可得,电阻丝电阻R=
由电阻定律得:R=ρ,解得:
(2)电源、电流表、待测金属丝、保护电阻组成串联电路,由题意知:电压表的内阻远大于金属丝的电阻,电压表的分流作用可以忽略不计,电流表应采用外接法,电路图如图所示.
故答案为:(1);(2)电路图如图所示.
点评:本题考查了求电阻率表达式、连接实物电路图,应用欧姆定律与电阻定律即可求出电阻率的表达式;根据题意确定电流表接法,然后连接实物电路图.
练习册系列答案
相关题目
如图甲所示的光电门传感器是测定瞬时速度大小的仪器,其原理是发射端发出一束很细的红外线到接收端,当固定在运动物体上的一个已知宽度为d的挡光板通过光电门挡住红外线时,和它连接的数字计时器可记下挡光的时间△t,则可以求出运动物体通过光电门时的瞬时速度大小.精英家教网
(1)为了减小测量瞬时速度的误差,应该选择宽度比较
 
(选填“宽”或“窄”)的挡光板.
(2)如图乙所示是某同学利用光电门传感器探究小车加速度与力之间关系的实验装置,他将该光电门固定在水平轨道上的B点,用不同重物通过细线拉同一小车,小车每次都从同一位置A点由静止释放.精英家教网
①如图丙所示,用游标卡尺测出挡光板的宽度d=
 
mm,实验时将小车从图乙中的A点由静止释放,由数字计时器记下挡光板通过光电门时挡光的时问间隔△t=0.02s,则小车通过光电门时的瞬时速度大小为
 
m/s;
②实验中设小车的质量为m1,重物的质量为m2,则在m1与m2满足关系
 
时可近似认为细线对小车的拉力大小与重物的重力大小相等;
③测出多组重物的质量m2和对应挡光板通过光电门的时间血,并算出小车经过光电门时的速度△t,通过描点作出线性图象,研究小车的加速度与力之间的关系.处理数据时应作出
 
(选填“v-m2”或“v2-m2,”)图象;
④某同学在③中作出的线性图象不过坐标原点,其可能的原因是
 

违法和不良信息举报电话:027-86699610 举报邮箱:58377363@163.com

精英家教网