ÌâÄ¿ÄÚÈÝ

СÃ÷Õ¾ÔÚˮƽµØÃæÉÏ£¬ÊÖÎÕ²»¿ÉÉ쳤µÄÇáÉþÒ»¶Ë£¬ÉþµÄÁíÒ»¶ËϵÓÐÖÊÁ¿ÎªmµÄСÇò£¬Ë¦¶¯ÊÖÍó£¬Ê¹ÇòÔÚÊúÖ±Æ½ÃæÄÚ×öÔ²ÖÜÔ˶¯£®µ±Çòij´ÎÔ˶¯µ½×îµÍµãʱ£¬ÉþͻȻ¶Ïµô£¬Çò·ÉÐÐˮƽ¾àÀëdºóÂ䵨£¬ÈçÓÒͼËùʾ£®ÒÑÖªÎÕÉþµÄÊÖÀëµØÃæ¸ß¶ÈΪd£¬ÊÖÓëÇòÖ®¼äµÄÉþ³¤Îª£¬ÖØÁ¦¼ÓËÙ¶ÈΪg.ºöÂÔÊÖµÄÔ˶¯°ë¾¶ºÍ¿ÕÆø×èÁ¦£®

(1)ÇóÉþ¶ÏʱÇòµÄËÙ¶È´óСv1ºÍÇòÂäµØÊ±µÄËÙ¶È´óСv2.

(2)ÎÊÉþÄܳÐÊܵÄ×î´óÀ­Á¦¶à´ó£¿

(3)¸Ä±äÉþ³¤£¬Ê¹ÇòÖØ¸´ÉÏÊöÔ˶¯£¬ÈôÉþÈÔÔÚÇòÔ˶¯µ½×îµÍµãʱ¶Ïµô£¬ÒªÊ¹ÇòÅ׳öµÄˮƽ¾àÀë×î´ó£¬Éþ³¤Ó¦Îª¶àÉÙ£¿×î´óˮƽ¾àÀëΪ¶àÉÙ£¿

 

¡¾´ð°¸¡¿

(1) ¡¡ ¡¡(2¡¡(3) ¡¡

¡¾½âÎö¡¿

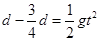
ÊÔÌâ·ÖÎö£º(1)ÉèÉþ¶ÏºóÇò·ÉÐÐʱ¼äΪt£¬ÓÉÆ½Å×Ô˶¯¹æÂÉ£¬ÓÐÊúÖ±·½Ïò£¬

ˮƽ·½Ïò

ÁªÁ¢½âµÃ

ÓÉ»úеÄÜÊØºã¶¨ÂÉ£¬ÓÐ

µÃ.

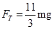
(2)ÉèÉþÄܳÐÊܵÄ×î´óÀ­Á¦´óСΪ£¬ÕâÒ²ÊÇÇòÊܵ½ÉþµÄ×î´óÀ­Á¦´óС£®

Çò×öÔ²ÖÜÔ˶¯µÄ°ë¾¶Îª

ÓÉÔ²ÖÜÔ˶¯ÏòÐÄÁ¦¹«Ê½£¬ÓÐ

ÁªÁ¢½âµÃ.

(3)ÉèÉþ³¤Îªl£¬Éþ¶ÏʱÇòµÄËÙ¶È´óСΪv3£¬Éþ³ÐÊܵÄ×î´óÀ­Á¦²»±ä£¬

ÓеÃ

Éþ¶ÏºóÇò×öƽÅ×Ô˶¯£¬ÊúÖ±Î»ÒÆÎªd£­l£¬Ë®Æ½Î»ÒÆÎªx£¬Ê±¼äΪ.

ÓÐ

µÃ

µ±Ê±£¬xÓм«´óÖµ.

¿¼µã£ºÅ£¶ÙµÚ¶þ¶¨ÂÉ£»Æ½Å×Ô˶¯£»ÏòÐÄÁ¦£®

µãÆÀ£º¿¼²éÁËÆ½Å×Ô˶¯µÄ¹æÂÉ¡¢Ô²ÖÜÔ˶¯½áºÏ¶¯Äܶ¨Àí£¬½ÏÄÑ£®

 

Á·Ï°²áϵÁдð°¸
Ïà¹ØÌâÄ¿

Î¥·¨ºÍ²»Á¼ÐÅÏ¢¾Ù±¨µç»°£º027-86699610 ¾Ù±¨ÓÊÏ䣺58377363@163.com

¾«Ó¢¼Ò½ÌÍø